RESEARCH NEWS AND INFORMATION
最新科研资讯
科研进展导读
近日,深圳量子科学与工程研究院翁文康教授团队和中国科学院高能物理研究所大川英希研究员合作,在高亮度大型强子对撞机(HL-LHC)快速模拟数据的径迹重建中,成功地应用了一种新的量子退火启发算法。这项研究的成果已整理成论文“Quantum-Annealing-Inspired Algorithms for Track Reconstruction at High-Energy Colliders”,并于2024年8月28日发表在Computing and Software for Big Science期刊上(H Okawa, QG Zeng, XZ Tao, MH Yung, Comput. Softw. Big Sci. 8 (2024) 16)。
内容概述
粒子追踪作为高能物理实验的重要组成部分,正面临越来越大的数据处理挑战。随着未来对撞机设施的建设,数据量预计将进入“exa-byte”级别,特别是在HL-LHC项目中,每年的计算需求预计将比现有的大型强子对撞机(LHC)增加10到20倍。
径迹重建是整个计算流程中最耗费资源的任务之一。传统的Kalman滤波技术虽然可靠,但在处理速度上存在局限。本研究提出了一种新颖的方法,即把径迹重建问题转换为一个组合优化问题,利用二进制变量来表示是否选择了某个triplet径迹单元,并通过优化一个特定的评价函数来实现径迹的全局重建。下图简单展示了研究中构建评价函数的两个原则:一是要求通过连接triplets得到的径迹长度尽可能短,径迹的曲率尽可能小;二是要求每个triplet单元只属于一条径迹,不同径迹间不可发生冲突。
图1:研究中通过组合triplets单元,构建出完整的粒子径迹。如何选择这些单元的组合,被建模为二元无约束优化问题进行求解。
(图片引自:https://github.com/derlin/hepqpr-qallse/blob/master/doc)
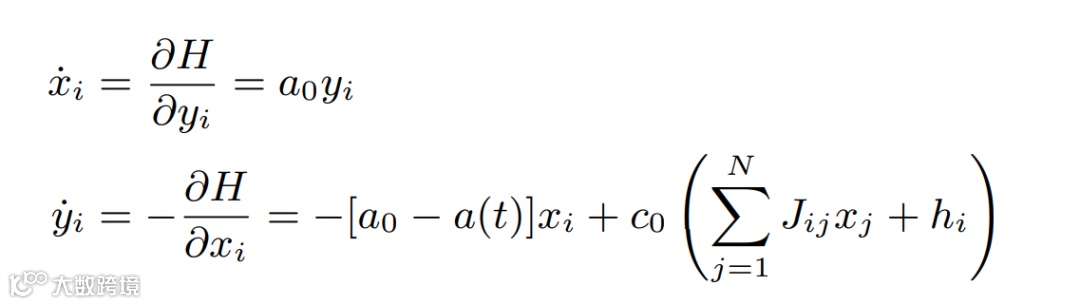
在此背景下,量子退火启发算法,尤其是模拟分岔算法(SB algorithm),因其在解决组合优化问题上的高效表现而受到关注。这种算法模拟了一个经典的非线性哈密顿系统的演化过程,并将伊辛模型编码到系统最终状态,以获得问题的近似最优解。这个过程可由以下一组偏微分方程描述:
方程中的是取正值的参数,是退火时间表,和则对应于具体的Ising问题。
图2:研究中考虑的最高粒子多样性事例显示。绿色(红色)线表示正确(不正确)重建的径迹,而蓝色线表示未重建的。此显示使用hepqpr-qallse框架生成。
模拟分岔算法不仅不受“量子比特数量”的限制,能够直接处理大规模数据集,而且适合于GPU和FPGA上的并行化处理。而在模拟退火中,每步只能更新单个自旋变量,并不适合并行处理。ballistic SB(bSB)作为SB算法的一个改进版本,与基于模拟退火的D-Wave Neal算法相比,在HL-LHC的最高径迹多重性条件(图1)下,其速度提高了三到四个数量级(图2),并提供了出色的重建效率和纯度。
图3:针对三种量子退火启发算法评估的最高粒子多重性事例中伊辛能量的演化。实线表示50个执行的平均值,而包络线表示这些执行中的最佳和最差情况。
论文信息
论文链接点击左下方阅读原文跳转。

