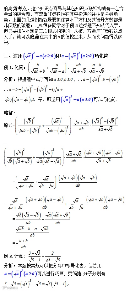
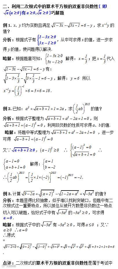
在数式相关的题型中,含二次根式的题是同学们感到比较头疼的,特别是其综合解答题的正确率也比较低;二次根式涵盖知识点多,解答的技巧性强;不但在代数中占据很重要的位置,而且有时在几何计算中也常能发挥很关键的作用,二次根式是很能考查同学们在初中阶段的数学素养的;下面“分类”例举的一部分题型是对二次根式的巩固与提升,让我们来共同探究.









孩子冲刺中考的路上,我们与您同行!
长按↓↓三秒即可关注

数智教师在数式相关的题型中,含二次根式的题是同学们感到比较头疼的,特别是其综合解答题的正确率也比较低;二次根式涵盖知识点多,解答的技巧性强;不但在代数中占据很重要的位置,而且有时在几何计算中也常能发挥很关键的作用,二次根式是很能考查同学们在初中阶段的数学素养的;下面“分类”例举的一部分题型是对二次根式的巩固与提升,让我们来共同探究.









孩子冲刺中考的路上,我们与您同行!
长按↓↓三秒即可关注
