初中数学试卷上解答题共有八道大题,其中技能部分占五道题,另一道应用题,一道探究题或方法迁移性问题,一道综合题.

一、实数代数式运算、方程不等式求解
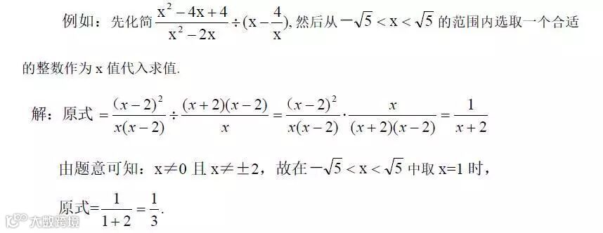
(1)分式的化简与求值:分式的运算分式的个数不超过三个,所以中考试题多以三个或两个分式为主,考察分式的通分,整式的因式分解,分式的约分等。通常的解题程序是:先把分子与分母能分解因式的进行因式分解,同时把小括号内的分式通分合并;再把除法转化为乘法运算,最后准确约分即可。
求值时改变了直接给出未知数的具体数字的模式,通常给出未知数的取值范围,首先要根据分式成立的意义确定什么数不能取,进而选择可行数代入求值。

(2)实数的运算
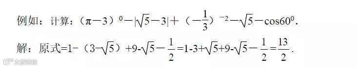
实数混合运算加减运算的次数不超过四次,因此中考试题中加减号的次数多以三个或四个为主,考察内容包括根式的化简,绝对值运算,整数指数幂的运算,特殊角三角函数值等。
通常的解题程序是:按加减把混合运算分成四个或五个小运算,第一步中把每个小运算的结果求出,再去括号进行实数的加减运算可直接得结果。

(3)解方程、解不等式
解方程(组)与解不等式(组)主要以解一元二次不等式,解二元一次方程组和解一元一次不等式组为主,考察等式与不等式的基本性质和消元降次的思想.它们的解题程序课本中都有标准的过程。
注意:解一元二次方程时可选择“公式法”,容易掌握和理解;解二元一次方程组时可选择“加减法”,可以提高速度;解一元一次不等式组时要关注数轴的准确画法与应用.

二、全等三角形证明与特殊四边形的判断与证明以及相关基本计算
几何题证明的难度不得超过证明定理的难度.因此,几何题多以直观判断图形的形状,判断图形间的关系,证明三角形全等和证明特殊四边形为主。
解决这类问题的基本程序是:先利用工具验证并直观判断图形的形状或关系,再寻找并证明两个三角形全等进而得到所要证明的问题,计算时多利用三角形的有关性质即可。

三、统计图表完善,样本估计总体状况计算问题
近几年中考中这部分知识解答题的考察,主要包括统计图表完善或制作,计算相关统计量并用统计量分析数据状况,利用统计和概率的思想用样本估计总体,计算简单事件的概率等。
解题的一般程序是:先从统计图表中获取相关信息,通过计算完善统计图表;再根据统计图表获取相关信息,通过计算得出样本的相关统计量或频率,运用统计和概率的思想判断并计算总体的有关问题;最后利用排列的方法计算简单随机事件的概率.



四、函数基本应用或基本技能问题
函数是中学数学的核心知识,也是中考数学命题的重心之一.近两年来看,解答题中增加了利用函数知识解决简单的实际问题,通过函数运算考察数形结合的思想与方法内容。
解题一般过程:设出所求函数的表达式,寻找满足函数的一到两组对应值或在函数图象上找到一到两点的坐标并代入表达式求解;再根据函数图象、实际意义判断自变量的取值范围或根据函数表达式计算有关问题;设出运动点的坐标结合图形面积公式根据题中数量关系列出方程(组)求解即可.

五、利用解直角三角形解决实际问题
近两年来,利用解直角三角形解决实际问题越来越得到重视。
解题一般过程:先从复杂的图形中找到或建立直角三角形,将实际问题数学化(实际数量值用数学符号表示),解直角三角形并把结果转化为实际需要解决的问题即可。

六、列方程、不等式、函数关系式解决实际问题
应用题是历年数学中招考试的核心之一,利用所学知识解决实际生活中的具体问题是一个人应用数学能力的体现,这也是学习数学的本质所在.从仅几年的考试情况来看,通过列方程(组)、列不等式(组)以及列函数关系式解决实际问题是不变的规律,一般都是通过解方程(组)、列不等式(组)以及分析函数关系确定方案设计、变化规律,进而计算如何费用最省、利润最大等.其题目中问题的变化加入了判断思维与语言描述等内容。
解决应用题常用的方法只有一种,就是把题目中包含的数字信息用简单的文字和数学符号表达出来;设出未知数代入简化后的式子中即可列出数量关系式;解相关数量关系式分析得出结果.


七、探究性问题
探究性问题的特点是在一个基本的平面图形内存在动点或动线变化,进而研究在变化过程中图形的特征变化及其对应下某线段(或角)的大小变化情况(或反之)。
解决探究性问题的一般程序是:第一步动手操,即在条件要求下演示图形变化,根据目标直观判断并确定动点动线的位置;第二步计算证明,即在第一步确定的图形下完成相关任务。


八、函数图象、平面图形在直角坐标系下综合问题

数学重在练习,在实战中总结出解题技巧和方法,数学最忌讳漫无目的的做题,有的时候做了几张卷子都在练习一种解题思路和方法,举一反三,一题多解,多解归一的方法是学习数学的最有效方法,在探索中,在体验中找到解题的突破点,不至于陷入题海无法自拔,还给自己增添了压力和负担。
孩子冲刺中考的路上,我们与您同行!
长按↓↓三秒即可关注


