搜索
首页
大数快讯
大数活动
服务超市
文章专题
出海平台
流量密码
出海蓝图
产业赛道
物流仓储
跨境支付
选品策略
实操手册
报告
跨企查
百科
导航
知识体系
工具箱
更多
找货源
跨境招聘
DeepSeek
首页
>
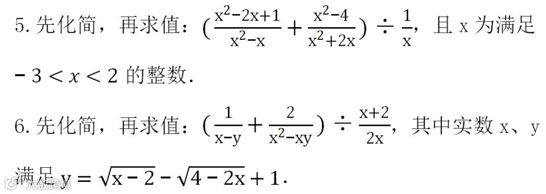
初二 | 初中数学八年级下册分式的运算强化训练
>
0
0
初二 | 初中数学八年级下册分式的运算强化训练
数智教师
2019-06-25
0
导读:主要知识点典型例题赏析反馈巩固参考答案声明:本公众号尊重原创,素材来源于网络,好的内容值得分享,如有侵权请联
主要知识点
典型例题赏析
反馈巩固
参考答案
声明:本公众号尊重原创,素材来源于网络,好的内容值得分享,如有
侵权
请联系删除。
孩子冲刺中考的路上,我们与您同行!
长按↓↓三秒即可关注
【声明】内容源于网络
0
0
数智教师
人工智能教学应用研究、中小学人工智能编程教育研究、国家智慧中小学平台应用研究
内容
6530
粉丝
0
关注
在线咨询
数智教师
人工智能教学应用研究、中小学人工智能编程教育研究、国家智慧中小学平台应用研究
总阅读
4
粉丝
0
内容
6.5k
在线咨询
关注