速度公式

注意事项:
①速度单位是组合单位,它是由路程和时间单位组合而成
②速度一定时,路程与时间成正比
③计算平均速度时应包括中途停止运动的时间
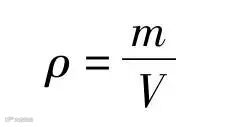
密度公式

注意事项:
②物体的密度与物体的质量和体积无关,与物质的种类、状态、温度有关
重力公式

注意事项:
①g=9.8 N/kg,粗略计算时g可取10N/kg
②m的单位必须为kg
压强公式

注意事项:
①F为物体对另一物体的压力,不是重力
②若压力在数值上等于物体所受重力时,应先注明F=G
③S为受力面积,是指物体间相互接触并相互挤压部分的面积,单位必须为m2。
液体压强公式

注意事项:
①ρ为液体的密度,单位必须为kg/m3
②h为液面到该点竖直方向的距离,单位必须为m
③粗细、密度均匀的实心圆柱体、长方体等规则物体也适用此公式
阿基米德原理

注意事项:
①G排 为排开液体的重力
②ρ液 为液体的密度,单位必须为kg/m3
③V排 为物体排开液体的体积,等效成浸在液体中的物体的体积,单位必须为m3
④物体浸没在液体中时V排=V物,漂浮(悬浮)时 F浮= G物 =m物g
做功公式

注意事项:
①s是沿力F的方向移动的距离,单位必须为m
②物体在水平方向做匀速直线运动时,受力平衡,F=f
③竖直方向重力做的功W=Gh=mgh
功率公式

注意事项:
①W为时间t内做的功,t单位必须为s
②根据W=Fs,s=vt知P=Fv,v为沿力的方向做匀速直线运动的速度或平均速度
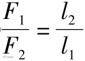
杠杆平衡条件

注意事项:
①
,L1 、L2 的单位相同即可,不需进行单位换算
②计算最小动力时,应使动力臂最大
比热容公式

注意事项:
①升高到t℃是指末温为t℃
②升高了t℃是指温度的变化量Δt=t℃
热 值 公 式

注意事项:
热值是物质的一种特性,不随热量和质量改变
欧 姆 定 律

注意事项:
①导体的电阻与导体两端的电压和通过导体的电流无关
②仅适用于纯电阻电路(没有电动机的电路)
电 功 公 式

注意事项:
U单位为V,I单位为A,t单位为s
电 功 率公 式

注意事项:
①根据W=UIt知P=UI
②根据P=UI、I=U/R知P=U2/R(适用于纯电阻电路)
③根据P=UI、U=IR知P=I2 R(适用于纯电阻电路)
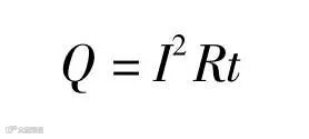
焦 耳 定 律

注意事项:
①Q为时间t内电流产生的热量,t单位必须为s
②适用于所有电路,一般应用于串联电路中
③根据I=U/R知Q=U2 t /R(适用于纯电阻电路,一般应用于并联电路中)
④若电能全部转化为内能,则Q=W=Pt
串 联 分 压

注意事项:
电流相等,其他物理量与R成正比,即
(适用于纯电阻电路)
并 联 分 流

注意事项:
电压相等,其他物理量与R成反比,即
(适用于纯电阻电路)
效 率 公 式

注意事项:
①有用功一般指牵引力、克服重力做的功、水吸收的热量
②总功一般为拉力做的功、消耗的电能、燃料燃烧释放的能量
声明:本公众号尊重原创,素材来源于网络,好的内容值得分享,如有侵权请联系删除。
孩子冲刺中考的路上,我们与您同行!
长按↓↓三秒即可关注


