大数跨境
0
0

2021中考数学重点--二次函数最全知识点汇总!(替孩子收藏)

2021中考数学重点--二次函数最全知识点汇总!(替孩子收藏) 数智教师
2021-04-18
0
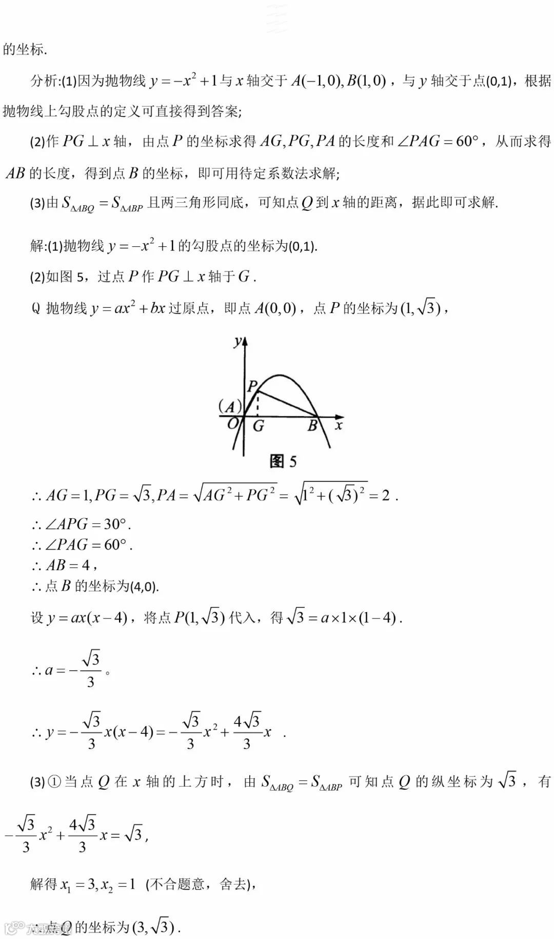
导读:第一部分 知识点总结第二部分 学习口诀二次函数图像与性质口诀二次函数抛物线,图象对称是关键;开口、顶点和交

第一部分 知识点总结



第二部分  学习口诀

二次函数图像与性质口诀

二次函数抛物线,图象对称是关键;

开口、顶点和交点,它们确定图象限;

开口、大小由a断,c与Y轴来相见,b的符号较特别,符号与a相关联;

顶点位置先找见,Y轴作为参考线,左同右异中为0,牢记心中莫混乱;

顶点坐标最重要,一般式配方它就现,横标即为对称轴,纵标函数最值见。

若求对称轴位置,符号反,一般、顶点、交点式,不同表达能互换。



第三部分 易错分析

函数是初中数学知识的主线,而二次函数是这条主线上的高潮.我们通过探索二次函数与方程的关系,让我们领悟到事物之间相互联系的辨证关系.我们能够利用二次函数解决实际问题,培养数学建模的能力.

【知识结构】


【知识梳理】

3、性质
注意:二次函数的性质要结合图象,认真理解,灵活应用,不要死记硬背.
4、二次函数与一元二次方程的关系

【易错点剖析】

一、忽略二次项系数不等于0


二、忽略隐含条件


三、忽略数形结合思想方法的应用


四、求顶点坐标时混淆符号


五、忽视根的判别式的作用



第四部分 巧选解析式

二次函数解析式的确定是中考的高频考点,在压轴题的第一问就难倒了不少小伙伴。那么如何巧选表达式来确定二次函数的解析式呢?


【小试牛刀



【几种特殊情况



第五部分 动态最值专题



第六部分 解题技巧


学好函数还是有诀窍的,要结合图像说性质,结合性质画图像,正所谓数形结合,函数无敌!



第七部分 变式13解


在初中三年数学学习中,二次函数一直是重难点,正是因为很多学生都没学会,因此让出题老师们钻了空子,在中考中最喜欢出二次函数的题,不管是选择,填空还是大题压轴题。

老师最喜欢给学生出难题,可是学生们就该叫苦不迭了,趁着中考前这段时间,多复习这一类知识,再做一个巩固加深印象。

以二次函数进行考查的题目,命题形式都是比较固定的,一般都是给一个含有字母系数的二次函数,通过给出条件确定解析式,然后讨论交点问题,往往看着简单的题目,最不容易做出来,出题稍微有点变化,学生就看不出来。

针对学生们做题出现的问题,我整理出来一些技巧以及考试中常出现的变式题,以便学生们上考场不自乱阵脚。


第八部分 题型归类

声明:本公众号尊重原创,素材来源于网络,好的内容值得分享,如有侵权请联系删除。

孩子冲刺中考的路上,我们与您同行!

长按↓↓三秒即可关注

【声明】内容源于网络
0
0
数智教师
人工智能教学应用研究、中小学人工智能编程教育研究、国家智慧中小学平台应用研究
内容 6530
粉丝 0
数智教师 人工智能教学应用研究、中小学人工智能编程教育研究、国家智慧中小学平台应用研究
总阅读562
粉丝0
内容6.5k