
开口、大小由a断,c与Y轴来相见,b的符号较特别,符号与a相关联;
顶点位置先找见,Y轴作为参考线,左同右异中为0,牢记心中莫混乱;
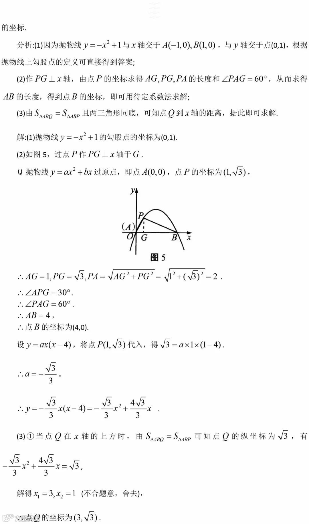
顶点坐标最重要,一般式配方它就现,横标即为对称轴,纵标函数最值见。
若求对称轴位置,符号反,一般、顶点、交点式,不同表达能互换。







函数是初中数学知识的主线,而二次函数是这条主线上的高潮.我们通过探索二次函数与方程的关系,让我们领悟到事物之间相互联系的辨证关系.我们能够利用二次函数解决实际问题,培养数学建模的能力.
注意:二次函数的性质要结合图象,认真理解,灵活应用,不要死记硬背.
二次函数解析式的确定是中考的高频考点,在压轴题的第一问就难倒了不少小伙伴。那么如何巧选表达式来确定二次函数的解析式呢?
学好函数还是有诀窍的,要结合图像说性质,结合性质画图像,正所谓数形结合,函数无敌!
在初中三年数学学习中,二次函数一直是重难点,正是因为很多学生都没学会,因此让出题老师们钻了空子,在中考中最喜欢出二次函数的题,不管是选择,填空还是大题压轴题。
老师最喜欢给学生出难题,可是学生们就该叫苦不迭了,趁着中考前这段时间,多复习这一类知识,再做一个巩固加深印象。
以二次函数进行考查的题目,命题形式都是比较固定的,一般都是给一个含有字母系数的二次函数,通过给出条件确定解析式,然后讨论交点问题,往往看着简单的题目,最不容易做出来,出题稍微有点变化,学生就看不出来。
针对学生们做题出现的问题,我整理出来一些技巧以及考试中常出现的变式题,以便学生们上考场不自乱阵脚。









声明:本公众号尊重原创,素材来源于网络,好的内容值得分享,如有侵权请联系删除。
孩子冲刺中考的路上,我们与您同行!
长按↓↓三秒即可关注