
编辑 | 丛 末
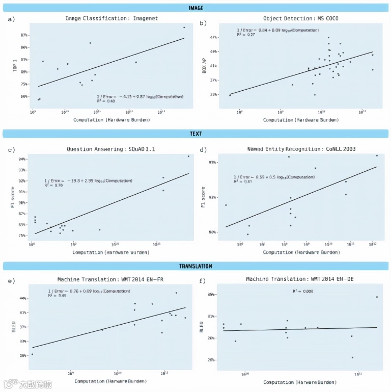
为什么说“深度学习过度依赖算力”?
深度学习会被算力锁死么?顶层设计仍有希望
论文地址:https://science.sciencemag.org/content/368/6495/eaam9744

