
你有强迫症么?通过几个常见的小例子可以自行鉴别一下。
早上出门明明锁好门窗了,却一直觉得没锁上,需要回过身来反复检查很多次才能离去;家里的物品要以特定的位置整齐摆好,有一丁点错乱就感觉极为难受;需要频繁洗手、洗澡或清洗其他东西,无法控制重复去洗,每天要花很多时间去执行这些行为;脑海里经常出现某些不好的想法,一直循环挥之不去,精神备受折磨却还是忍不住去想······
强迫症其实是一种精神疾病,医学上就将它分为强迫观念和强迫行为。强迫症患者会陷入一种无意义且令人沮丧的重复想法与行为当中,内心希望能结束,却又无法挣脱,承受着痛苦强迫自己持续进行。
该疾病轻则会产生行为举止异常,重则足以摧毁一个人正常的生活、工作、社交能力,严重情况下会导致重度抑郁、焦虑症、人格障碍。

有研究显示,强迫症通常起病于 30 岁以前的青少年时期,并且有可能持续终生,据估计,全球约有近 2.3% 的人,在其一生中的某个时刻会被强迫症所困扰,每一年都有将近 1.2% 的人有明显强迫症的症状,人数近 10 亿。
导致强迫症的原因千差万别,不同的生理、心理、遗传、环境因素等都可能是诱因,由于人们对这种精神疾病的机制理解不完整,因此也难以找到非常有效的缓解方法。
日前,来自波士顿大学的一组科学家在强迫症研究领域实现了突破性发现和进展,研究论文以 “High-frequency neuromodulation improves obsessive–compulsive behavior” 为题发表在权威期刊 Nature Medicine 上。

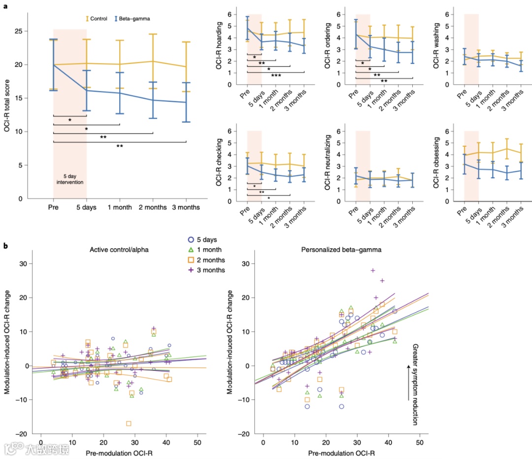
他们介绍了一种高频神经调节疗法,在实验中证明,患者使用该疗法 5 天,可以在未来 3 个月内有效减弱强迫症行为,且对症状严重的患者显示出了最大的益处,实验结果为相关疾病的个性化电路治疗技术发展奠定了基础。

图|高频神经调节疗法电路模型(来源:Nature Medicine)
强迫症的大脑回路
一个人为什么会不自觉地强迫自己?抛开外在因素,脑科学专家们认为强迫症是参与重复执行学习的大脑额叶-额叶神经网络出现异常所导致的结果。
我们的大脑中其实有一套刺激“习惯学习”的奖励机制,近年来的研究也开始将强迫行为与过度的习惯学习联系起来。
这些不正常的波动在人类脑磁图和脑电图中有所反馈。研究人员发现,这套奖励机制可以在大脑额叶部位引起高 β- 低 γ 频率范围的波动效应,这种效应被认为是一种源于大脑内侧眶额皮质(OFC)的动机价值信号,它被传递到大脑腹侧纹状体,将刺激-反应映射与随后的奖励机制联系起来,最终形成了“强迫”的循环。
因此,从这个思路入手,在奖励机制形成的过程中,对 OFC 内节律的调节,可能会影响后续习惯学习机制的形成,从而使强迫行为正常化。
波士顿大学的科学家们对此展开了两项实验,他们使用了个性化的、非侵入性的 HD-tACS 技术(高清晰度的经颅交流电刺激),来确定 OFC 中 β-γ 节律在奖励学习中的功能分布,并检验其在强迫行为正常化方面的潜力。
5 天治疗,患者 “强迫症” 指标 3 个月内下降了 28%
首先,研究人员试图证明一种因果关系,即对 OFC 中 β-γ 神经调节有效的是奖励机制,而不是惩罚机制去引导,看看效果如何。科研人员遴选了 60 名受试者,测定其大脑内在奖励机制相关的 β-γ 频率,并在任务期间使用 HD-tACS 调节 OFC 中的这些节律。
其次,他们在一个非临床组的 64 名强迫症患者中,检测了 5 天内慢性 β-γ 的 OFC 节律调节对强迫症症状的影响,在之后 3 个月时间里对强迫行为进行检查。
最后,为了确定共同的潜在机制,他们研究了两个实验中神经调节引起的奖励学习机制、强迫症状变化与大脑内在 β-γ 频率的动力学关系。

图|货币强化学习任务和大脑眶额神经调节协议示意图(来源:Nature Medicine)
在实验 1 中,他们采用了参与者间、双盲、双假对照设计,个性化的 β-γ 频率是通过实验前的脑电图记录来确定的,同时参与者学会了将刺激与金钱的奖赏和损失联系起来,完成货币强化学习任务。
在测试实验中赢得 10 美元或损失 10 美元情况下,研究人员观测记录了大脑信号的波动情况,三维重建了个性化的大脑眶额神经调节协议和电流模型,并确认每个电极的位置和电流强度值。
对于强迫症患者,业内有一种自我报告评估工具,即强迫症性清单修订版(OCI-R),该工具的总评分高低与强迫症状、抑郁和焦虑等系数相关,常用作强迫症的例行筛查。
实验 2 结果显示,仅仅 5 天的神经调节干预,患者平均 OCI-R 总分在 3 个月内下降了近 28%。

图|HD-tACS 治疗后强迫症的变化情况(来源:Nature Medicine)
另外,基准 OCI-R 得分较高的参与者在接受高频神经调节治疗后,强迫症行为的减少幅度出现了较大的调制,研究人员通过校正多重比较后,在每个时间点都发现了显著的相关性。
接下来,这些预测可以更好地为电流神经调节和神经成像检查提供理论支撑。因为该研究结果为 OFC 参与人类强迫行为提供了因果证据,并且神经调节的频率特异性效应为神经生理学提供了一个机制性的见解,可以有针对性地改善相关症状。
研究人员在论文结尾表示,个性化的神经调节设计利用了大脑的神经特性,可以通过长期使用 HD-tACS 最终产生持久的 “抗强迫症” 效果。
强迫症患者迎来新希望
如开篇所讲,虽然有强迫症的人不在少数,但多数人其实还没到病态的地步,通过自我心理疏导还是能够缓解的。
而对于比较严重的患者,有时候还需要弄清楚患者是否经历了什么事件刺激而造成了心理创伤,或在青少年时遭遇了什么打击而引致强迫症。
作为治疗前的研究,除了科学的神经刺激治疗方法,基于心理上的治疗让他们抽离阴影及焦虑情绪也非常关键。

关于强迫症治疗,此前认知行为疗法是一种比较常用的方式,这种疗法的介入可以帮助患者渐渐增强耐受性,抵消不执行强迫行为而带来的焦虑感。
现在被广泛接受的方法是心理治疗合并精神类药物治疗,最常被用来治疗强迫症的药物类别为 SSRI,这是一种选择性 5 - 羟色胺再摄取抑制剂,也用作抗抑郁药,但用药一般是第二线的治疗方式,因为这类药物的耐受性较差,对身体健康产生的副作用也限制了它们的使用。

近年来,一些研究小组已经发现电痉挛疗法对重度、难治性强迫症有疗效,精神科医生通过电击患者脑部来诱发痉挛,用来治疗严重性忧郁障碍、躁郁症和精神分裂症等,尤其当所有药物和心理疗法都无效时。
但这种方式同样有不良后果,最常见的是电疗后的短暂意识混淆和回溯性记忆丧失,直接电疗在大部分国家被认为是非法的,仅在少数国家仍被用来治疗精神病患,这一过程需要在有专家资质的医院中才能进行,且在尝试多种剂量药物治疗和认知行为治疗之前禁止使用。
相比之下,来自波士顿大学科学团队的高频神经调节疗法在采用无创、无副作用的技术手段下,以最低的损伤消耗展示出了较强的治疗效果,或将为强迫症和其他精神类疾病的治疗带来新的希望。
编审:寇建超
排版:沈晶
https://www.nature.com/articles/s41591-020-01173-w
喜欢本篇内容,请分享、点赞、在看