
撰文:库珀
编审:寇建超
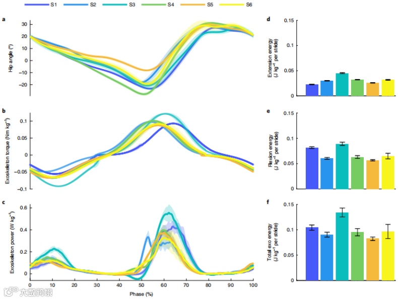
为了改善被截肢残疾人的行走难题,美国犹他大学仿生工程实验室的研究人员开发出了一套轻型动力外骨骼,该设备使用电机、微处理器和先进的算法来帮助下肢截肢者行走,就像电动自行车帮助骑手踩着踏板上坡一样。
该研究小组的相关论文发表在《自然医学》杂志上。实验数据表明,借助动力髋外骨骼辅助装备是提高截肢者步行经济性的可行方案,能显著降低行走的代谢成本,对活动性产生相当积极的影响,未来可大幅提升膝上截肢患者的生活质量。
点这里关注我👇记得标星~
热门视频推荐
更多彩视频,尽在学术头条视频号,欢迎关注~
揭秘全球最大“空中吸碳”工厂:已运行1个月,每年把4000吨CO2变成石头
拜登点赞的中国重器,又登上了国际顶刊!


