关于阿美提斯携二氢槲皮素全球注册认证的历史
请准许我讲诉我们公司阿美提斯Ametis JSC生产的二氢槲皮素全球注册认证的历史情况,并澄清我们产品在中国注册的产品的身份问题。
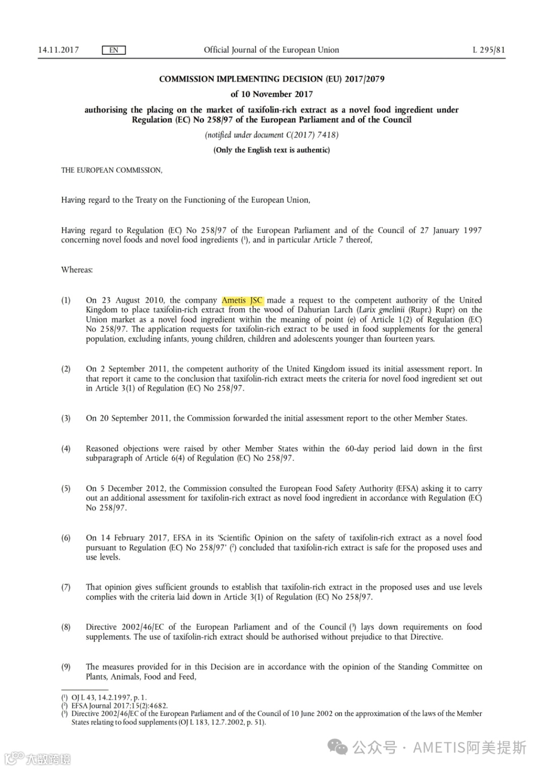
2017年,Ametis JSC在欧盟注册了二氢槲皮素,作为一种新的食品成分,由EFSA当局注册。请参阅附件中2017年11月的意见(欧盟委员会执行决定(2017年11月份10日)2017/2079,授权根据欧洲议会和理事会第258/97号条例将富含花旗松素的提取物作为一种新型食品成分投放市场)。这份文件的第一页(第1段)写道,Ametis JSC是欧盟注册二氢槲皮素的申请者。在收到欧盟国家对二氢槲皮素的使用和销售的积极决定和许可后,为注册准备的档案进行了翻译,适应了中国立法的要求,并用于在中国注册二氢槲皮素。
2019年,我们尝试在中国国家卫生健康委员会注册二氢槲皮素。当时,申请人是俄罗斯公司Ametis JSC。我们被拒绝在中国注册一种新的食品成分二氢槲皮素。我们被建议联系一家有兴趣在中国境内注册二氢槲皮素的中国公司,并请他们代为进行该产品的注册。因此,在2020年,我们与吉林省健维天然生物科技有限公司签订了协议,明确规定,Ametis JSC转让该产品的所有文件,所有临床和临床前数据,以及最终的档案,以便在中国注册二氢槲皮素,生产Ametis JSC(请参阅所附的协议)。于是,2021年4月25日,二氢槲皮素在中国注册。
在2017年11月的欧洲文件第3页“附件1富含花旗松素提取物的规格”中,标明了产品的规格信息。如你所见,它与国内注册的二氢槲皮素的规格完全一致。所有这些产品的特性都在我们的分析和规格证书中规定(请查阅附件中的文件)。如果提供的文件对我们的产品身份或产品是否符合中国法律规定的要求产生疑问,我们可以提供样品进行所需的分析。我们希望提供使用HPLC法测定二氢槲皮素的方法。
考虑到上述情况,我想指出的是,俄罗斯公司Ametis JSC生产的二氢槲皮素在欧盟注册,随后用于注册的档案被翻译并转移到一家中国公司,用于在中国注册二氢槲皮素。我们还想指出,Ametis JSC拥有文件,允许不仅在欧盟、中国销售产品,还包括在美国、日本、印度和独联体国家。我们会在本文后面附阿美提斯关于二氢槲皮素在俄罗斯,美国,欧盟认证文件,文件标明申请方是阿美提斯。
希望我们的论点能非常有说服力,并希望收到中国用户关于二氢槲皮素对此事的反馈。
致以亲切的问候,
谢尔盖·拉申
董事长
阿美提斯股份公司
在中国二氢槲皮素是使用阿美提斯文件于2021年4月25日被中国食品安全标准与监测评估司成功注册并准许使用后,很多中国相关公司开始与我们开始建立了联系。
食品安全标准与监测评估司链接://www.nhc.gov.cn/sps/s5854/202104/7e0282d906404a4d899c25db7d453ebc.shtml
批准文件中的的俄罗斯和欧盟许可皆是阿美提斯申请并获得。
2024年阿美提斯公司占全球二氢皮素产量占97%,远销30多国家。
阿美提斯在俄罗斯联邦认证
阿美提斯在欧盟食品安全认证





阿美提斯在美国FDA认证

阿美提斯在美国认证结论


