
节圆柱上的螺旋角:![]()
基圆柱上的螺旋角:![]()
齿厚中心车角:![]()
销子直径:![]()
中心距离增加系数:![]()

标准正齿轮的计算(小齿轮①,大齿轮②)
1. 齿轮齿 标准
2. 工齿齿形 直齿
3. 模数 m
4. 压力角 ![]()
5. 齿数 ![]()
6. 有效齿深 ![]()
7. 全齿深 ![]()
8. 齿顶隙 ![]()
9. 基础节圆直径 ![]()
10. 外径 ![]()
11. 齿底直径 ![]()
12. 基础圆直径 ![]()
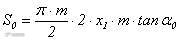
13.周节 ![]()
14. 法线节距 ![]()
15.圆弧齿厚 ![]()
16. 弦齿厚 ![]()
17. 齿轮油标尺齿高 ![]()
18.跨齿数 ![]()
19. 跨齿厚 ![]()
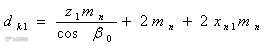
20.销子直径 ![]()
21. 圆柱测量尺寸
(偶数齿)
(奇数齿)
其中, ![]()
22.齿隙
标准螺旋齿的计算公式(齿直角方式)(小齿轮①,大齿轮②)
1. 齿轮齿形 标准
2. 齿形基准断面 齿直角
3. 工具齿形 螺旋齿
4. 模数 ![]()
5. 压力角 ![]()
6. 齿数 ![]()
7. 螺旋角方向
(左或右)
8. 有效齿深 ![]()
9. 全齿深 ![]()
10. 正面压力角 ![]()
11. 中心距离 ![]()
12. 基准节圆直径 ![]()
13. 外径 ![]()
14. 齿底圆直径 ![]()
15. 基圆直径 ![]()
16. 基圆上的螺旋角 ![]()
17. 导程 ![]()
18. 周节(齿直角) ![]()
19. 法线节距(齿直角) ![]()
20. 圆弧齿厚(齿直角) ![]()
21. 相当正齿轮齿数 ![]()
22. 弦齿厚 ![]()
23. 齿轮游标尺齿深 ![]()
24. 跨齿数 
25. 跨齿厚 ![]()
26. 梢子直径 ![]()
其中,![]()
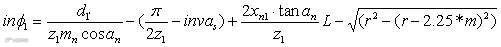
27. 圆柱测量尺寸
(偶数齿)
(奇数齿)
![]()
28. 齿隙 ![]()
移位正齿轮计算公式(小齿轮①,大齿轮②)
1. 齿轮齿形 转位
2. 工具齿形 直齿
3. 模数 ![]()
4. 压力角 ![]()
5. 齿数 ![]()
6. 有效齿深 ![]()
7. 全齿深
或 
8. 齿隙 ![]()
9. 转位系数 ![]()
10. 中心距离 ![]()
11. 基准节圆直径 ![]()
12. 啮合压力角 ![]()
13. 啮合节圆直径 ![]()
14. 外径 ![]()
15. 齿顶圆直径 ![]()
16. 基圆直径 ![]()
17. 周节 ![]()
18. 法线节距 ![]()
19. 圆弧齿厚 ![]()
20. 弦齿厚 ![]()
21. 齿轮游标尺齿高 ![]()
22. 跨齿数 ![]()
23. 跨齿厚 ![]()
24. 梢子直径 ![]()
25. 圆柱测量尺寸
(偶数齿)
(奇数齿)
![]()
移位螺旋齿的计算公式(齿直角方式)(小齿轮①,大齿轮②)

1. 齿轮齿形 移位
2. 齿形基准断面 齿直角
3. 工具齿形 螺旋齿
4. 模数(齿直角) ![]()
5. 压力角(齿直角) ![]()
6. 齿数 ![]()
7. 螺旋方向
8. 有效齿深 ![]()
9. 全齿深 ![]()
10. 移位系数 ![]()
11. 中心距离 ![]()
12. 正面模数 ![]()
13. 正面压力角 ![]()
14. 相当正齿轮齿数 ![]()
15. 齿直角啮齿压力角 ![]()
16. 基准节圆直径 ![]()
17. 外径 ![]()
18. 啮齿节圆直径 ![]()
19. 基圆直径 ![]()
20. 基础圆柱上的螺旋角 ![]()
21. 圆弧齿厚 ![]()
22. 弦齿厚 ![]()
23. 齿轮游标尺齿高 ![]()
24. 跨齿数 ![]()
25. 跨齿厚 ![]()
26. 销子直径 ![]()
27. 圆柱测量尺寸
(偶数齿)
![]()
![]()
注:齿隙 f=m 1.25以下 0.025-0.075
m 1.25-2.5 0.05-0.10
![]()
蜗轮、蜗杆的计算公式:
1,传动比=蜗轮齿数÷蜗杆头数
2,中心距=(蜗轮节径+蜗杆节径)÷2
3,蜗轮吼径=(齿数+2)×模数
4,蜗轮节径=模数×齿数
5,蜗杆节径=蜗杆外径-2×模数
6,蜗杆导程=π×模数×头数
7,螺旋角(导程角)tgB=(模数×头数)÷蜗杆节径




目前100000+人已关注加入我们

