先说优势~~~
渤海人寿前行无忧【稳居10年期增额寿第一梯队】
1、门槛低且投保灵活,健康告知宽松。
2、IRR最高可达3.49%:增额比例为3.5%。
1、门槛低且投保灵活,健康告知宽松。
渤海人寿前行无忧增额终身寿险对被保人的年龄和职业都有要求。
年龄要求是出生满30天-65周岁,投保年龄范围相对较广,覆盖客群多,满足多个年龄阶段投保需求。
与以往寿险支持1-6类职业不同,被保人职业限制为1-4类,较为严格。
保单功能灵活,支持减保、减额交清和保单贷款,面对资金支出,可选择减保,剩下的价值继续增值;缴费压力过大可支持减额交清;短期资金周转可支持保单贷款,最高可贷保单现金价值的80%,目前贷款利率为6%,利率相对较高,最长可贷180天。
2、IRR最高可达3.49%:增额比例为3.5%。
投保渤海前行无忧后,从保单第二年算起,当年的有效保额在上一年的基础上以3.5%的比例递增,即当年度保险金额等于上一保单年度内的年度保险金额×(1+3.5%)。后期身故/全残金保额递增,现金价值逐年增加,后期增长可观,长期IRR最高可达3.49%
1、渤海人寿前行无忧,5年交费
各年龄段年交1万、2万,5万,满8年现价速查表
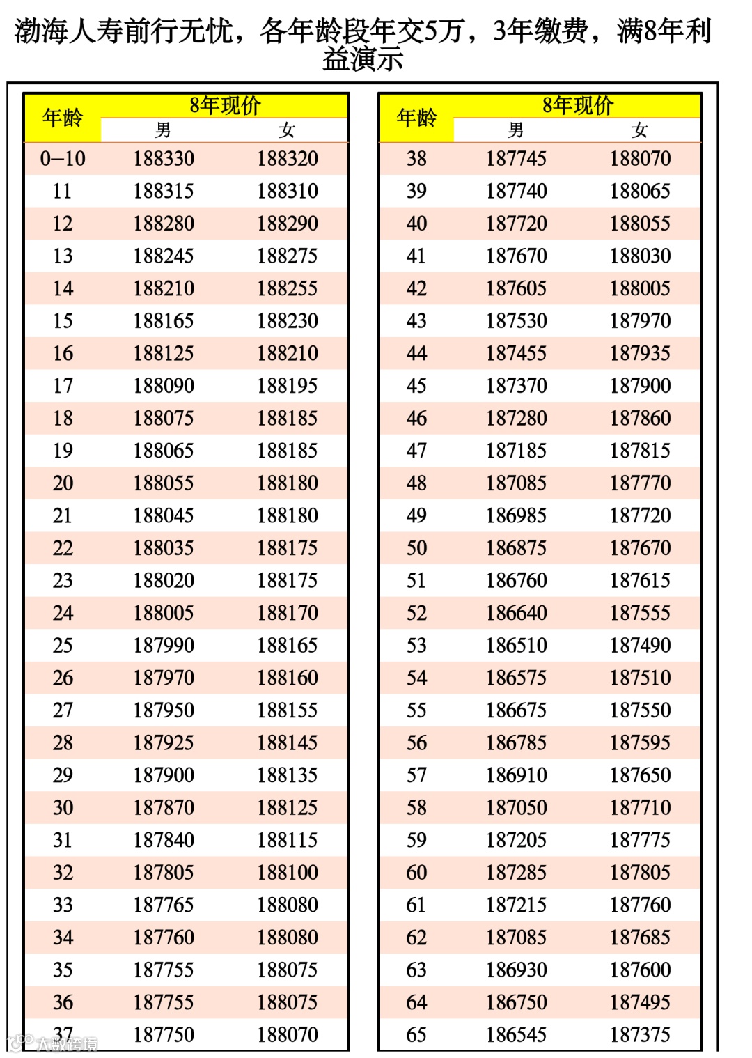
2、渤海人寿前行无忧,3年交费
各年龄段年交2万,5万、10万,满8年现价速查表
总结
前行无忧是渤海人寿推出的一款年度明星产品。IRR最高可达3.49%,这款产品能够满足我们人生不同阶段的子女教育、家庭养老、长期储蓄、财富传承等诸多需求,并且锁定长期利率,保障终身~

