这两年,人们越来越关注养老的问题,现在达成的共识是,以后退休不再是年龄退休而是财务退休。养老金上涨乏力和少子化越来越严重,我们的社保没办法对养老全盘接受,我们至少要有一部分自己的储蓄来应对长寿风险。
养老最大的问题在于:当你对金钱控制力(理财能力)越来越差的时候,刚好是你对钱的使用和需求频率越来越高的时候,这时候有一个“安全稳健可持续”的现金流就显得格外重要!
要问养老理财哪家好,当属保险界俩法宝
一个养老年金险,一个是增额终寿险

要说这俩到底哪个更适合规划养老,今天咱们就来好好念叨念叨。

啥是养老年金险?
养老年金简单来说就是“存今天的钱,圆养老的梦”。退休年龄到来之前,账户里没有多少钱,真正的收益要等退休以后才看得见,活多久、领多久,永远不会亏了本,可以有效地避免人没了钱没了和人还在钱没了的尴尬境况,年金属于厚积薄发型选手,堪称“延迟满足界之王”。
很多人说养老年金反人性,用年轻的资产来强制养老,影响了我们“今朝有酒今朝醉”的潇洒生活,我想说,与“享受当下”相比,人性的需求更在于“一直有钱花”,同样,延迟满足的重点不在于延迟,而在于可以得到“满足”!强储带来的安全感,又何尝不是一种顺人性的快乐呢?
养老功力:



啥是增额终寿险?
增额终身寿险因为其现价高、回本快,所以常常被大众粗暴地理解为有身价的“理财险”,不仅有越来越高的身价保障,还有逐年递增的现价收益。持有的时间越久,现价收益越高,投资期结束后,可随时减保部分领取或一次性退保全额领取,既可“享受当下”,也可“长久规划”,灵活性较高,属于全能型选手,堪比“理财界的小能手”。
这样一款“完美”险种除了用来养老之外,还常常用来规划孩子教育金、实现财富代际传承、进行资产风险隔离等。
养老功力:


二者差别请参考对比表
养老年金VS增额终身寿
|
||
养老年金险
|
增额终身寿险
|
|
功能定位
|
退休后的养老补充
|
养老金、教育金、传承、资产隔离
|
领取时间
|
到达指定退休年龄以后才能领,灵活性较差 |
5年后随时减保,
灵活性较强
|
给付金额
|
不能多、不能少, 固定领取
|
减保方式灵活管理
(一般不超过保额或累计保费的20%)
|
身价保障
|
弱/无
|
有身价/杠杆低
|
受益金归属
|
被保险人所有
|
投保人所有
|
现金流
|
保证终身现金流
|
无法保证终身可领
|
财富保全
|
有债务风险
|
可实现资产隔离
|
健康告知
|
部分产品有
|
有
|
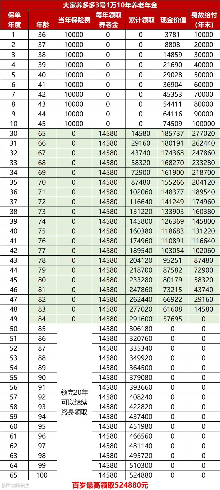
作为市场上养老年金和增额寿界的网红代表——大家养老的养多多3号和和谐健康的人我行,二者在养老收益上,表现出不同特点。
以36岁男性,1万10年交,65岁领取为例:
Ø 身价保障:
在65岁领取退休金之前,人我行表现出作为一款寿险应有的身价保障优势;
在65岁开始领取退休金之后,养多多3号在20年保证领取的保障优势下,75周岁前身价反超人我行;
Ø 领取金额:
重点来了:养多多3号作为纯正的养老年金险,在65岁退休后可每年领取14580元,直至终身;
而人我行按照同样的领取金额计算,最多只能从65岁领到86岁,领取年限最高也就22年;
同样领取到100岁,养多多3号累计领取金额比人我行多出了足足 62790元。
因此,纯正的养老年金总体收益是超过增额终身寿险,如果要做养老补充,养老年金一定是首选!养老还是年金好呀~

我要怎么选?
年金险是活多久领多久,但不要忘了它在退休前不能动的短板;
增额终寿随用随取可多可少是灵活,但不要忘了反而让你攒不住钱;
两类产品没有好坏、各有千秋,关于这两类产品配置的取舍,首先需要从需求上出发,选类型,而后再来基于性价比(收益率高低)选产品。
如果你年纪轻轻就有很强的养老意识,选年金险,拉长收益时间,让你的养老更值得期待;
如果你是自由工作,没交五险一金,选年金险,至少让自己老了老了有个基础保障饿不死;
如果你资金安排很精准,就是为了补充养老,选年金,专款专用,必达心愿;
如果你收入平平还攒不住钱,想要强制储蓄,选年金险,最低一年二百的起投额,专治存不住钱;
如果你年过半百已入知命之年,即将步入退休行列,选增额寿险,快速的收益,及早满足养老需求;
如果你还年轻随时可能用钱,想做中短期理财,选增额寿险;灵活取用、退保不亏;
如果你手头有闲钱,没有明确使用目的和规划安排,选增额寿险,多功能使用满足不同需求;
写在最后
当然,如果你听了这么多,依旧摇摆不定、选择困难,来!简单!听姐的,年金、增寿组合搭配,各来一半。
左右护法,神仙搭档,不仅安安心心无惧未来,还能快快乐乐活在当下!
好啦,今天的分享就到这啦,如果你也想要做规划养老,欢迎私信我们,为你提供最中肯、最实用、最适合你的产品建议。如果这篇内容对你有用,记得点赞收藏、设置星标,这样就不会错过每周的更新啦!
如果你有不清楚的,也欢迎私信我们~

