大数跨境
0
0

科研检测 | 小角X射线散射(SAXS测试)(含科研检测报价)

科研检测 | 小角X射线散射(SAXS测试)(含科研检测报价) 赛纳新材测试服务
2025-10-31
1
导读:科研检测 | 小角X射线散射(SAXS测试)(含科研检测报价)

赛纳新材:一家技术研发服务平台,专注智能化“共享实验室”建设。

湖南赛纳新材料科技有限公司(以下简称“赛纳新材”)积极响应号召,以产业需求为导向,“专业支撑、高效协同、开放共赢”为宗旨,面向高校、科研机构、科技企业及初创团队,提供覆盖研发全周期的一站式解决方案,全力助推区域科技创新和产业升级。倾力打造“一站式科研服务平台”与“共享实验室”,通过创新实验室运营模式,构建起“1个核心实验室+8个协作节点+34个开放站点”的立体化科研服务体系,为行业头部企业提供坚实技术支撑,有力推动合作项目实现本地转化,为区域产业高质量发展注入新动能。



还在为科研检测费用紧张而发愁吗?

还在为寻找

质量优、周期短且价格低的检测机构/平台

而四处奔波吗?

第三方检测耗时费钱,

学校设备排队漫长、项目有限...

这几乎是每一位科研人都经历过的真实困境!

好消息来了!

为助力科研创新与产业孵化,

赛纳新材

现面向

高校研究团队、初创科技公司、地方孵化器项目

正式对外开放科研检测平台

享受专业、高效、极具性价比

仪器设备分析检测服务

价格仅为市场价的约 1/3 







一、什么是小角X射线散射(SAXS)?

小角X射线散射(SAXS)是指在X射线照射样品后,于入射光束附近2°~5°小角度区间内发生的散射现象。基于波粒散射的反比关系,SAXS适用于研究尺度在数百至上千埃(约1~100 nm)的亚微观结构,如高聚物、蛋白质、溶胶凝胶等多类材料。其物理本质源于样品内部散射体与周围介质间的电子云密度差异,即在纳米尺度存在电子密度起伏(晶区与非晶区共存),导致X射线产生不相干散射。该方法由此可有效解析材料在纳米范围内的结构信息。

1. SAXS:小角X射线散射,基于X光与电子云的散射。

2. WAXS:广角X射线散射,类似于XRD.

3. GIWAXS:掠入射广角X射线散射,研究晶体的各向异性。

4. GISAXS:掠入射小角X射线散射,研究自组装体的各向异性。

5. 掠入射入射角:GIWAXS或GISAXS测试中,样品与X射线的夹角。

6. 散射矢量Q:单位nm-1或者A-1,1A-1=10nm-1

7. SDD:Sample Detector Distance,样品到探测器的距离。

8. Beam stop:用于阻挡直通光的圆形铜块,在二维图上通常为圆形黑色区域。

9. 相对散射强度:没有单位,单位可以是a. u.。

10. 绝对散射强度:需要厚度,单位是mm-1

11. X射线靶材:X射线发生装置,一般为Cu靶,波长1.54189A。

二、为什么我们要用SAXS来看高分子

高分子材料的结构复杂性在于其多尺度无序性:从分子链缠绕、晶区/非晶区分布,到相分离、纳米填料分散及内部缺陷等,跨越纳米至微米尺度。光学显微镜受限于衍射极限(约200nm),难以分辨纳米结构;电镜虽可达纳米级分辨率,却仅能表征表面或超薄切片的局部二维信息。SAXS(小角X射线散射)恰好填补这一空白:通过统计分析X光散射信号,无损获取材料内部纳米结构的平均轮廓,成为少数能实现纳米尺度穿透式统计表征的关键技术。

三、X光、小角度、散射分别是什么意思?

1. 什么是 X 光?

X光是一种短波长(0.01~10nm)电磁波,穿透力强,可与物质内部电子相互作用。虽然其波长小于纳米结构尺寸,但通过分析其散射行为,可获取样品在1~100nm尺度内的结构信息。

2. 为什么是“小角”散射? 

小角X射线散射(SAXS)中的“小角”源于样品内部较大尺度结构(如几十纳米)导致X射线产生小角度偏转的物理现象。SAXS设备并非控制角度,而是专门设计用于探测该小角度范围内的散射信号,从而解析材料内部的微观不均匀性。

材料体系
主要结构特征
尺度
金属、陶瓷
原子排列(晶胞)
0.1~0.5nm
高分子(聚合物)
分子链缠绕、相分离、结晶区、填料分布
10~500nm(或更大)

1)小角度 ≈ 探测大结构
2)大角度(如 WAXS) ≈ 探测小结构(晶格、原子间距)

3. “散射”到底是什么意思?

“散射”指X射线穿透样品时,受电子作用而改变方向的过程。散射信号的强度与角度分布反映材料内部结构特征:有序结构(如晶体)产生衍射峰;无序分布的颗粒或相分离结构呈现平滑衰减的散射曲线;若存在较大孔洞或团聚,则低角度散射强度增强。SAXS通过解析此类信号,实现对纳米尺度结构的非破坏性分析。

四、整个测试过程是怎么样的?

小角X射线散射(SAXS)适用于表征1~100nm尺度的高分子内部结构,如PEEK中的:晶区/非晶区层状结构纳米孔洞填料或相分离域等。由于结构尺寸远小于光学显微镜分辨极限,需借助X射线(波长约0.1~0.2 nm)进行探测。

1. 当X射线照射样品时,其与物质相互作用发生散射,散射信号的角度分布与内部结构的尺寸相关。

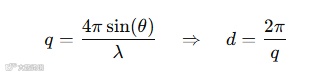
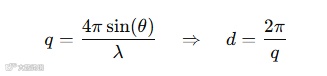
2. 引入散射矢量q = 4πsinθ/λ,其中θ为散射角,λ为X射线波长。q值(散射矢量,单位通常是 nm-1)与结构尺寸d大致满足Bragg关系:d ≈ 2π/q。因此,小q值(小散射角)对应大尺度结构(数十至百纳米),大q值则对应更小尺度结构。

1)散射角越小 → 表示q越小 → 代表结构越大。

2)散射角越大 → 表示q越大 → 结构越小。

3)如果 θ 更小,比如 0.1°,那q更小,L就更大(几十~上百 nm)。

3. 探测器记录不同q值下的散射强度I(q),得到一维散射曲线或二维散射图样。通过分析I(q)随q的变化,可解析样品内部的纳米结构信息,如尺寸、形状、分布及界面特征等,从而实现对高分子材料微观结构的无损表征。

4. 如何看图?

1)图像中心 = 直射光的位置

图像的最中心点对应的是X射线穿过样品的直线路径,那里通常亮度最高,是未发生散射的“直通光”位置。

2)亮度 = 该方向的散射强度

二维图像上每个像素点的亮度,反映了该方向上散射光的强弱。亮的区域表示该方向散射强,暗的区域表示散射弱。

3)圆圈 = 相同 q 值的等高线

  • q 值是散射向量大小,与结构尺寸  d  成反比:

  • 所以:

    • 圆圈越靠中心 → q 越小 → 表示结构尺寸越大

    • 圆圈越外层 → q 越大 → 表示结构越小

4)圆形对称性 → 表示样品结构各向同性

    • 如果图像是完美的同心圆:说明样品的结构在各个方向上都是一致的(各向同性)

    • 如果图像出现椭圆形、椭圆环或特定方向拉伸的条纹:说明样品内部结构在某一方向上有取向性,比如拉伸方向、结晶方向等

    五、测试完成能得到哪些信息?


    六、常见问题

    1. SAXS和XRD的区别有哪些?

    由于散射效应存在(散射效应,即康普顿效应,当一个光子击脱原子外层轨道上的电子时,入射光子就被偏转以新的方向散射出去。光子的能量一部分作为反跳电子的动能,而绝大部分是作为光子散射),X射线经过物质时会偏离原来的传播方向。此时入射X光和散射X光就会发生如下两种相互作用:

    1)若试样具有周期性结构(晶区,入射光和散射光之间没有波长的改变,则X射线发生相干散射,该过程称为大角X射线衍射

    2)若试样内部1~100nm量级范围内电子密度不均匀,即样品在该范围内同时具有晶区和非晶区,则散射X射线波长发生改变,入射光和散射光发生不相干散射,便称为小角X射线散射

    3)注:小角衍射XRD,一般应用于测定超大晶面间距或薄膜厚度以及薄膜的微观周期结构、周期排列的孔分布等问题;小角散射SAXS则是应用于测定超细粉体或疏松多孔材料孔分布的有关性质

    2. 如何看懂二维数据?

    1)SAXS二维图中,直通光所在坐标处的散射矢量q为0,黑色圆形为beam stop,圆心处为直通光的坐标。以直通光坐标为圆心,向外散射矢量逐渐变大。每个同心圆的散射矢量相同。一个圆环对应一个q值,表现为一维图的一个峰,圆环从小到大代表q从小到大,可以查每个晶面的q大小,来标记每个环是什么晶面。

    2)二维图中,环越宽代表结晶性越差,颜色越深代表峰强越强,同一个环颜色有差异代表有取向。

    3. SAXS中二维图如何积分获得一维散射曲线?

    从二维到一维,需要直通光的坐标,探测器像素大小,样品到探测器的距离SDD,X射线波长等参数,测试结束后一般会默认给一维散射曲线数据。

    4. 测试前如何选择散射矢量范围?

    需要了解二维和一维的对应关系,从而选择最为合适的范围。包括以下几种情况:

    1)对于小角区有峰的样品,例如有长周期的结构,那么主要关注峰的位置,这在二维图上表现为一个同心圆环,则选择的范围要能把环完整包括进去。选择合适的Q中心

    2)对于小角区没有峰的样品,则主要关注回转半径、分形维数、粒径拟合等问题,那么一般来说需要关注小角区的Qmin,有些拟合需要从比较小的Q开始,偏Qmin一侧。

    3)对于一些探索性的样品,不确定峰的位置在哪,那么一般来说需要看Qmax,那么选择相应的Qmax后相应的Qmin也会偏大,偏Qmax一侧。

    4)如何选择居中和左下角偏置,范围不需要特别大,优先选择居中,如果范围不够,则选择左下角偏置提高测试范围。各向异性样品优先居中,粉末液体样品等无取向可以选择左下偏置测试。

    5)一次测试范围有限,如果同一样品需要测试多个范围,则需要多次收费。通常来说,两次测试后的一维散射曲线可以拼接。

    5. 如何进行GIWAXS图像矫正?

    由于散射Ewald sphere的原因,q散射矢量无法达到完全面外的位置。GIWAXS校正就是把检测器得到的图转化为样品倒易空间信息,故而GIWAXS的qz-qxy图必然会有楔形缺失。如果看到论文中qz-qxy图没有楔形缺失,可以认为是未经校正的错误图。首先,未校正的原始图中的衍射点位置会偏离水平和垂直方向,高阶衍射会向中间靠拢。

    6. 常用的样品厚度是多厚?

    根据GB/T13221-2004,X光经过样品后衰减率在50%~70%为佳。

    1)塑料制品(只包含C、H、O等轻元素):0.5~1.5mm左右。(塑料膜如果很薄,可以叠加测试以达到好的效果)。

    2)铝合金样品:80μm左右。

    3)木材样品(天然未加工):0.5~1.5mm左右。

    4)掠入射样品:基底需使用硅片玻璃等,表面无镀层,厚度1mm以上(薄硅片掠入射可能会有问题)。表面样品厚度可参考文献,太薄的样品可能信号较弱。

    5)水凝胶厚度:按照经验,水凝胶里面会有一些无机盐,所以厚度不能太厚,约为0.5mm左右。

    7. 散射矢量Q和2θ的关系是怎么样的?

    散射矢量Q对于不同入射波长的X射线大小相同,而2θ的大小与X射线入射波长有关。对于Cu靶X射线,与Q的转换如下:

    8. 面内面外取向是什么样的?

    有取向是指特定方向有序排列

    1)面内取向:平行基底方向有序排列,Qxy方向。

    2)面外取向:垂直基底方向有序排列,Qz方向。

    七、测试能力

    1. 测试模式

    1)根据X射线的入射角度可以分为透射和掠入射,横坐标是测试范围,纵坐标是强度。

    2)根据测试范围可以分为小角和广角,一般SAXS能测到6nm-1左右,具体看设备,不同实验室能测的范围不一致。

    2. 测试能力

    1)常规测试:常温常压,粉末、液体、薄膜、块体、纤维、凝胶等都可以测试。

    2)原位变温:目前可做的温度范围最低是零下100℃,最高350℃。

    3)原位拉伸:目前最大应变能做到1000%。

    4)注:原位测试能测的范围要比常规测试的小,原位台尺寸较大,因此样品到探测器的距离比常规测试的大,所以测试范围要小。

    3. 数据展示

    SAXS的数据通常包含一维数据和二维彩图、有取向的数据和无取向的数据。



    别再让高昂的检测成本阻碍您的研究步伐!

    选择 赛纳科研检测平台

    用市场 1/3 的价格,

    享受 一流的检测服务

    无论是您手头亟待表征的样品,

    还是即将启动的研究项目,

    现在就是联系我们的最佳时机!

    助力科研,赋能创新,我们与您同行! 

    【科研检测项目价格 & 完整分析检测仪器清单】

    1. 显微成像

    1)科研检测-显微成像

    微观结构是材料性能的根源。我们的显微成像服务,助您看清材料的“容貌”与“肌理”。

    2)科研检测项目

    扫描电子显微镜(SEM测试)、透射电子显微镜(TEM测试)、原子力显微镜(AFM测试)、扫描隧道显微镜(STM测试)、 电子背散射衍射(EBSD测试)、电子探针显微分析(EPMA测试)、激光共聚焦显微镜(CLSM测试)、环境扫描电镜(ESEM测试)、生物冷冻扫描电镜(Cryo-SEM测试)、矿物自动分析仪(MLA测试)、三维X射线显微镜(XRM测试/显微CT)、超景深显微镜(Keyence VHX-7000)、倒置荧光显微镜(FM测试)、负染色技术(磷钨酸染色、醋酸铀染色)、金相显微镜(Leica DM6M)、白光三维光学显微镜(3D光学轮廓仪)、偏光显微镜(Leica Visoria P)等。

    3)能为您做什么

    观察表面形貌、断口分析、粒度统计、涂层厚度测量、内部缺陷无损检测等。

    4)部分项目报价

    图片

    图片

    2.  结构分析

    1)科研检测-结构分析

    物质的晶体结构决定了其核心性质。我们的结构分析服务,为您精确解析物质的“基因序列”。

    2)科研检测项目

    X-射线衍XRD)、单晶衍射XRD)、X射线全岩定量分析(XRD)、掠入射XRD(GIXRD)、极图/宏观织构测试(XRD)、微区XRD、高分辨XRD(HRXRD)X射线光电子能谱XPS)、紫外光电子能谱UPS)、小角散射/广角散射(SAXS/WAXS傅里叶红外光谱(FTIR)、显微红外、纳米红外(AFM-IR)、拉曼光谱Raman)、偏振拉曼测试、圆二色光谱仪(CD)、稳态/瞬态荧光光谱(PL)、拉曼-荧光联用、SEM-拉曼联用、亚微米分辨红外-拉曼-荧光联用系统(O-PTIR)、紫外可见近红外光谱(UV/VIS/NIR)原位(变温)紫外光谱、红外反射率/透过率/发射率/漫反射测试、电子自旋共振波谱ESR/EPR)、液体核磁共振(NMR)、高温/低温液体核磁(NMR)、固体核磁共振(SSNMR)、低场核磁共振成像系统(MRI)、正电子湮灭寿命谱仪(PAT)、和频振动光谱(SFG)、太赫兹时域光谱仪(TDS)、泡压法膜孔径分析仪、多组分竞争吸附仪(穿透曲线分析仪)、位错密度测试、二次谐波(SHG)、圆偏振荧光光谱仪(CPL)、阴极荧光光谱(SEM-CL)、化纤长丝热收缩仪、纤维声速取向测试仪、纱线强伸度仪、缕纱测长仪等。

    3)能为您做什么

    物相鉴定、晶粒取向分析、残余应力测定、晶体结构解析等。

    4)部分项目报价

    图片3. 成分分析

    1)科研检测-成分分析

    材料由什么组成?元素如何分布?成分分析给您最准确的答案。 

    2)科研检测项目

    X射线光电子能谱(XPS测试)、X射线荧光光谱(XRF测试)、电感耦合等离子体光谱仪(ICP-OES测试)、电感耦合等离子体质谱仪(ICP-MS测试)、静态二次离子质谱(TOF-SIMS测试)、全自动氨基酸分析仪(HITACHI LA8080)、有机元素分析仪(EA测试)、离子色谱仪(IC测试)、总有机碳/总无机碳/总氮/需氧量分析仪(TOC/TIC/TN/COD/BOD测试)、辉光放电质谱仪(GD-MS测试)、高分辨质谱仪(HRMS测试)、高效液相色谱(HPLC测试)、气相色谱(GC测试)、高效液相色谱-质谱联用(HPLC-MS测试)、气相色谱-质谱联用(GC-MS测试)、原子吸收光谱仪(AAS测试)、原子荧光光谱仪(AFS测试)、俄歇电子能谱(AES测试)、三维原子探针(APT测试)、动态二次离子质谱仪(D-SIMS测试)、凯氏定氮仪(丹麦FOSS KJELTEC8400)、火花直读光谱仪(德国spectro)、穆斯堡尔谱仪(MS-500)、红外碳硫仪(美国力可CS844)、煤质分析(煤工业分析)、红外测油仪(连华LH-OIL336)、氧氮氢联测仪(ONH分析)、薄层色谱仪(TLC测试)、激光诱导击穿光谱仪(LIBS测试)、气相离子迁移谱联用仪(GC-IMS测试)、液相色谱-原子荧光联用(HPLC-AFS测试)、激光剥蚀(多接收)等离子体质谱仪 [LA-(MC)-ICP-MS测试]等。 

    3)能为您做什么

    元素种类与含量分析、元素分布Mapping、表面化学态分析、痕量元素检测等。 

    4)部分项目报价

    图片图片

    4.  物性分析

    1)科研检测-物性分析

    材料能否扛得住压力?耐不耐磨损?其力学性能直接关系到最终产品的可靠性与寿命。我们的物性分析服务,为您提供全面的“体检报告”,量化材料的每一项力学指标。

    2)科研检测项目

    全自动物理吸附仪(BET测试)、全自动压汞仪(MIP测试)、化学吸附仪(TPD/TPR/TPO测试)、常温/高温凝胶色谱(GPC测试)、接触角测试(CA测试)、高温接触角(Kruss GmbH HTA)、Zeta电位及纳米粒度分析仪(DLS测试)、椭偏仪(颐光ME-L)、台阶仪(Tukon 2500)、真密度测试(G-DenPyc 2900)、雾度测试(BYK-Gardner)、高级旋转流变仪(TA Discovery HR-3)、激光粒度分析仪(Mastersizer 3000)、动态水分吸附测试仪(DVS测试)、折射率测试(Abbe Refractometer)、灰熔点测定仪(煤灰熔融性)、全自动旋光仪(Autopol IV)、纳米颗粒跟踪分析仪(NTA测试)、矿物自动分析仪(MLA测试)、毛细管流变仪(美国TA HR-30)、动态泡沫分析仪(Labthink EP-800)、气体透过率测试仪(Labthink OX2/230)、比色仪(颜色测定)、四球摩擦试验机(Labthink EP-800)、智能重量分析仪(IGA测试)等。

    3)能为您做什么

    拉伸/压缩/弯曲强度测试、弹性模量测定、硬度测试、断裂韧性测试、摩擦系数与磨损率测定、冲击韧性测试等。

    4)部分项目报价

    图片

    图片

    5. 热学性能

    1)科研检测-热学性能

    温度变化下,材料是稳定还是分解?会吸热还是放热?热学性能决定了产品的应用环境与加工工艺。我们助您摸清材料的“冷热脾性”,为工艺优化和应用边界提供关键数据。

    2)科研检测项目

    热重分析(TG-DTG)、差示扫描量热仪(DSC)、同步热分析仪(TG-DSC)、热重质谱联用仪(TG-MS,≤1100℃)、热重红外联用(TG-IR)、同步热分析-红外-质谱联用(TG-IR-MS)、热重-红外-气相色谱质谱(TG-FTIR-GCMS)、傅里叶变换离子回旋共振质谱(FT-ICR-MS测试)、动态热机械(DMA)、静态热机械分析(TMA)、激光导热仪(NETZSCH LFA 457)、HotDisk热常数分析(导热系数)、热裂解/热脱附气相色谱-质谱联用仪(Py/TD-GC-MS)、热模拟实验机(Gleeble)、热膨胀分析仪(NETZSCH DIL402C)、锥形量热仪(英国FTT0007)、临界氧指数分析仪(英国FTT0007)热变形维卡软化点试验机(Leica DM6M)、水平垂直燃烧测定仪(英国FTT0082)、熔融指数仪(XNR-400C)、灰熔点测定仪(HJHR-6000)、水泥水化分析(TAM Air 八通道微量热仪)、灼热丝试验仪(TTech-GBT5169-10A)等。

    3)能为您做什么

    玻璃化转变温度、熔点、结晶温度、热焓值测定、热稳定性与分解温度分析、热膨胀系数、动态模量、导热性能测试等。

    4)部分项目报价

    图片

    6. 声光电磁

    1)科研检测-声光电磁

    对于功能材料而言,其声、光、电、磁等特性才是核心价值所在。我们的检测平台致力于精准量化这些特殊性能,为您的功能材料研发、新能源、电子信息等领域的研究提供强大支撑。 

    2)科研检测项目

    振动样品强计(VSM)、物性综合测量系统(PPMS测试)、表面光电压谱仪(SPV测试)、压电常数测试(D33测试)、宽频介电常数测试仪(Agilent 4294A)、铁电压电分析仪(德国ACIX TF2000E)、霍尔效应测试系统(HMS-7000)、塞贝克系数(第一热电效应)、固体/薄膜表面Zeta电位仪(Anton Paar surpass3)、椭偏仪(颐光ME-L)、飞秒瞬态吸收(fs-TAS测试)、电阻率测试仪(ST2258C 四探针)、击穿电压试验仪(BDJC-50kV)、阻抗分析仪(Agilent 4294A)、电化学分析仪(辰华CHI600E)、四探针测试仪(ST2258C四探针)、电池性能测试(武汉蓝电电子CT2001)、矢量网络分析仪(VNA测试)、电导率(粉末、液体、离子)(BEC-307)、声学性能测试系统(阻抗管测试)、残余应力(理学SmartLab)、半导体光电测试(Zahner PP211)、变温荧光光谱(爱丁堡FLS1000)、强制调制光电流谱(IMPS测试)、超导量子干涉磁测量(SQUID测试)、外量子效率(IPCE/EQE测试)、多功能缺陷荧光光谱仪(热释光三维光谱)、热刺激电流仪(TSC测试)、磁致伸缩系数测量系统(TS3300)、扫描电化学显微镜(SECM测试)等。

    3)能为您做什么

    介电常数/损耗测试、电阻率/IV曲线测试、磁滞回线分析、铁电性能测试、光谱透射/反射/吸收分析、隔声/吸声性能测试等。 

    4)部分项目报价


    图片图片图片6.

    【测试周期】

    ① 常规样品平均测试周期:到样1~3天,无需加急。

    ② 特殊样品:以协商周期为准。


    【测试流程】
    图片

    完成之后根据科研检测服务人员提供的账号进入订单系统:

    http://customer.sainanecv.com

    实时查询订单状态、数据下载、报销资料下载、争议数据复测等。


    服务微信:SNCS-666



    湖南赛纳新材料科技有限公司(以下简称“赛纳新材”)积极响应号召,以产业需求为导向,“专业支撑、高效协同、开放共赢”为宗旨,面向高校、科研机构、科技企业及初创团队,提供覆盖研发全周期的一站式解决方案,全力助推区域科技创新和产业升级。倾力打造“一站式科研服务平台”与“共享实验室”,通过创新实验室运营模式,构建起“1个核心实验室+8个协作节点+34个开放站点”的立体化科研服务体系,为行业头部企业提供坚实技术支撑,有力推动合作项目实现本地转化,为区域产业高质量发展注入新动能。

    服务体系

    赛纳新材的三大实验室模式,是立体化服务体系的核心支撑,各有侧重、协同发力:

    1. 锂电共享实验室(核心共建)

    聚焦锂电池材料领域,整合配置具有市场竞争力的专业实验设备,为锂电制造企业提供精准、高效的技术服务,助力企业攻克研发难题,提升产品核心竞争力。

    2. 科研检测实验室(协作节点)

    深化与高校院所的合作,创新资源盘活模式,借助市场化运作机制,深度挖掘合作伙伴仪器设备与实验设施的利用价值,实现科研资源的优化配置与高效共享。

    3. 产业业态实验室(开放站点)

    以开放姿态构建产业生态,制定标准化技术服务流程,为合作伙伴提供便捷化检测支持,可实现24~72小时快速交付检测数据,助力企业及时响应市场需求,提升研发与生产效率。

    核心优势

    在提供优质检测服务的基础上,赛纳新材更致力于打造开放、协同、高效的研发生态,为产业创新发展提供多维度支撑:

    1. 降低研发成本

    企业无需投入大量资金自建实验室,通过共享平台即可获取专业资源,尤其为中小型企业与初创团队减轻研发负担,让创新活力充分释放。

    2. 加速技术验证

    帮助企业快速接入专业科研检测资源,缩短技术验证周期,提高研发决策效率,推动技术成果更快从实验室走向市场。

    3. 推动成果转化

    构建 “仪器共享+检测服务+成果转化” 的闭环服务模式,打通从技术研发到产业应用的关键环节,助力科研项目落地转化,实现产业化价值。

    4. 共建创新网络

    积极联动政府、创投基金、产业链企业等多方主体,共同打造研发公共服务平台,整合各方资源优势,形成创新合力,为产业创新发展搭建更广阔的合作平台。

    【办公地址】

    长沙经济开发区人民东路二段189号中部智谷7栋3楼

    图片




    ■免责声明:本公众号致力于服务全体科研人员,分享科研检测相关内容,仅供参考学习。所有转载内容,均不代表『赛纳新材测试服务』赞同其观点和立场,不能完全保证其准确性和真实性。如若本公众号侵犯媒体或个人知识产权,请联系删除。


    图片

    图片

    科研干货 | 论文写作“抄”出高分,小白也能轻松搞定!

    科研检测 | 一文学会扫描电镜(SEM)、原子力显微镜(AFM)、透射电镜(TEM)、扫描隧道显微镜(STM)原理和优缺点~~~

    科研检测 | 稳态与瞬态荧光光谱仪(PL测试)在材料科学中的研究!!!

    科研干货 | 一文看懂MOF(金属有机框架) 的6种合成方法,各有啥优缺点?

    科研干货 | 实验室滤膜怎么选?记住这3步,告别“选择困难”!!!

    科研检测 | 椭偏仪项目简介、基本原理、测试步骤、仪器特点......

    【声明】内容源于网络
    0
    0
    赛纳新材测试服务
    欢迎关注赛纳新材测试服务(科研检测)!提供TOF-SIMS、AFM全模式、TEM、SEM、TG、DSC、UPS、XPS、SAXS/WAXS、ICP、FTIR、紫外、BET、MIP等300多种测试项目,请加WX:SNCS-666
    内容 104
    粉丝 0
    赛纳新材测试服务 欢迎关注赛纳新材测试服务(科研检测)!提供TOF-SIMS、AFM全模式、TEM、SEM、TG、DSC、UPS、XPS、SAXS/WAXS、ICP、FTIR、紫外、BET、MIP等300多种测试项目,请加WX:SNCS-666
    总阅读36
    粉丝0
    内容104