
问题:怎么才能每天都收到这种文章呢??答案:只需要点击图片上边的《非标自动化》进行“关注”即可!
电流互感器是一种特殊的变压器,它的作用是把大电流变成标准小电流,配合测量仪表、计量仪表和继电器等设备工作。这样可以起到扩大仪表测量范围,提高电路的可靠性和安全性的作用。电流互感器的接线原理图如下图所示,电流互感器的一次线圈串联在一次主电路中,其二次接入的仪表和继电器的线圈也全部是串联的。
平时我们在选用电流互感器时主要考虑变比和准确度这两个技术参数。
1、变比
电流互感器二次侧额定电流值都为5A或1A,一般情况下选择5A。测量电流互感器常用的变比有5/5、10/5、15/5、20/5、25/5、30/5、40/5、50/5、75/5、100/5、150/5、200/5、250/5、300/5、400/5、500/5、600/5、750/5、800/5等,那么如何正确的选择电流互感器的变比呢?
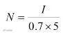
《电力装置的电测量仪表装置设计规范》中规定“指针式测量仪表测量范围的选择,宜保证电力设备额定值指示在仪表标度尺的2/3处。”根据这个规范我们可以用下面的公式选取电流互感器的变比N。
这个公式中I为回路的最大负荷电流,0.7的意思是最大负荷电流时指示指在仪表盘的70%处,5为电流互感器二次额定
电流值。然后根据计算的变比值选择相应电流互感器的变比。比如,I为50A,根据计算公式可以得到N=14.29,所以选择75/5变比的电流互感器。
2、准确度
电流互感器的准确度又称为精度,由于电流互感器存在比值误差和角误差是不可避免的。电流互感器的准确度在数值上等于此比值误差极限的百分数。比如,0.5级的电流互感器的最大比值误差为±0.5%。测量电流互感器有0.1、0.2、0.5、1、3、5等级,保护用的电流互感器有5P、10P两级。一般情况下,计量选择0.2级,测量选择0.5级,一般监视仪表选择1级。
同时我们在使用电流互感器需要注意:电流互感器的二次侧一定要接地,防止一次侧高压窜人二次侧,危机设备和人生安全;注意电流互感器一、二侧的极性,极性接错严重情况下烧损仪表;电流互感器二次不能开路,严禁二次侧安装熔断器,防止二次侧开路感应出高电压,危机人生安全。
如果对我们公众号有什么好的建议,
欢迎加微信号:zhijiedafb
或者直接后台留言!
…………下期更精彩!千万不要错过哦!!!
“非标自动化”微信所发布、回复的一切内容仅作公益性分享、研讨之用,内容仅供参考,不一定代表“非标自动化”意见,请各位明辨。另外,如因作品内容、图片版权和其它问题请联系我们:微信237752585,我们会及时更正。
“非标自动化”团队分享此文的一切功德,皆悉回向文章原作者和各位读者。
悄悄地告诉你,要找好工作就猛戳阅读原文!





