
前几天,天津市公布2023年我市普通本科录取控制分数线为472分!相比去年463分提高了9分。而今年天津总计常规本科录取人数44132人,比去年增加了2079人。
根据计算,天津2023年本科院校上线率约为64%!
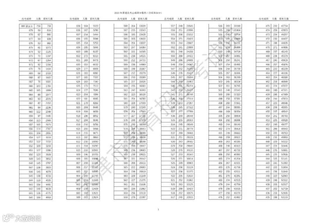
附:2023天津高考一分一段表


2022年全国各省985、211、清北的录取率数据也在家长圈刷屏,985录取率全国第一,天津211录取率全国第四,清北录取率全国第三!天津的高考生们可以保存参考下!
附:985、211、清北在天津的录取率参考



至于今年天津高考的情况究竟如何,志愿填报有哪些最新消息,各高校往年录取详情,小编为家长和高考生们总结了一下,一起来看看!
今年天津高考报名总人数6.9万人,各类高校招生总人数及占比如下:
| 学校 | 人数 | 占比 |
|---|---|---|
| 985高校 | 3496人 | 5.01% |
| 211高校(含985) | 8082人 | 11.7% |
| 其他公办本科高校 | 26068人 | 37.8% |
| 民办大学及独立学院 |
9982人 | 14.5% |
| 合计 | 44132人 | 63.96% |
天津各高校方面,录取人数有所扩增:今年天津本地高校相比去年扩招1323人。

此外,985大学今年招收总量微增至3496人,211大学今年招收总量增加至4586人。
2023年全国高考人数增加了98万人。天津方面,据“天津市教育招生考试院”统计,今年天津高考人数约6.9万人,相比去年5.8万人增加了约1.1万人,在高考人数增加约1.1万的情况下本科线不降反升。

985高校招生人数比去年增加了26人,211高校比去年增加了104人,不过相较于面对报名人数的增量,这届考生的竞争压力还是增大了不少。

尤其相比较前几年,今年天津本科院校录取率下降了大约8%。按照前30%排名比例划定的分数线(563分)为一本线参考,与去年(2022年)相比,本科录取控制分数线提高了9分,而一本线(前30%)降低了差不多20分。可见天津本次高考的难度有所提升。


而且,今年高考难度增加不仅仅体现在两个分数线的变动,根据各个分数段的人数增减幅度可看出,高分段人数多下跌30%左右,中低分段人数增加,导致今年天津高考的竞争压力更大。不过因天津550分段以上的考生人数较去年均有不同程度降低,高分段学生挑选报考学校空间变大,可在选择心仪学校的同时,考虑选择什么专业。
总而言之,今年考生总量的增加对中下等水平考生影响最大,而题目难度的增加,影响了中高分段的学生,让本次高考更具筛选性。
明年高考的家长和学生们,也需要多关心下本年高考录取的近况,如果按照前五年平均高中录取率64.7%进行计算,那么今年全市高中招生计划将要达到76346人,比去年增加5438人,增幅在7.67%左右。

考虑到天津高考题目难度增加,很难说未来会不会持续这个趋势。尽管在天津高考确实没有那么“地狱级别”,但也不是轻而易举。想要在天津高考出成绩,高中三年必须好好读书,决不能太过松懈。
不过,今年的高考已经结束。不管结果如何,还是要放眼未来,眼下已成定局,但未来还有无限可能。也祝天津的考生们,都能被心仪的学校录取吧!
来源:公众号“天津人”


