摘要:亚硝胺广泛存在于食物、饮用水、化妆品和烟草烟雾中,并可由内源性产生。最近,亚硝胺作为杂质在各种药物中被检测到。亚硝胺是一种烷化剂,具有基因毒性和致癌性,因此特别值得关注。我们首先总结了目前关于烷化剂的不同来源和化学性质的知识,重点介绍了相关的亚硝胺。随后,我们介绍了亚硝胺经CYP450单氧化酶代谢活化后诱导的主要DNA烷基化加合物。然后,我们介绍了各种DNA烷基化加合物所参与的DNA修复途径,其中包括碱基切除修复、MGMT和ALKBH的直接损伤逆转以及核苷酸切除修复。它们在防止亚硝胺的基因毒性和致癌作用方面的作用得到了强调。最后,我们讨论了DNA转座子合成作为DNA损伤耐受机制与DNA烷基化加合物的关系。
关键词:N-亚硝基化合物;N-亚硝胺;DNA烷基化;DNA损伤;DNA修复;MGMT;AAG;ALKBH;BER;NER;TLS
1
DNA烷基化损伤的来源
DNA烷基化病变是最常见的DNA损伤类型之一,可由内源性化合物、环境因素和用于抗癌治疗的烷化剂诱发。这些烷化剂具有诱变性、毒性、致畸性和致畸性,是众所周知的人类致癌物[1]。根据烷化剂的不同,DNA的不同位置可通过亲核置换(SN反应)受到攻击。烷化剂可通过SN1或SN2反应发挥作用。在SN2(二阶亲核取代)反应中,亲核物的加成和离去基团的消除同时发生。与此相反,在SN1(一阶亲核取代)反应中,亲核物的加入和离去基团的消除分两步进行。当烷基化剂中的目标碳原子周围有干扰性大基团时,SN1反应更为重要。一般来说,烷化剂可以在嘌呤和嘧啶的所有O原子和N原子(图1)以及DNA主干的磷酸酯上形成加合物。SN1型烷基化试剂可烷基化O原子和N原子,而SN2试剂则主要烷基化N原子 [2]。
图一.DNA碱基的烷基化。SN1型烷基化试剂烷基化O原子和N原子,而SN2试剂主要烷基化N原子。O原子用黄色表示,N原子用绿色表示。dR:脱氧核糖分子。
O-烷基化具有很强的致突变性和细胞毒性 [3]。O6-烷基鸟嘌呤虽然只占烷基化总量的不到8%[2],但却是DNA烷基化损伤中最关键的类型。O6-甲基鸟嘌呤(O6-MeG)和O6-乙基鸟嘌呤(O6-EtG)会与胸腺嘧啶发生错配,导致GC→AT转换突变 [4]。O4-甲基胸腺嘧啶(O4-MeT)也是一种突变前DNA病变,但其诱导量很小。N-烷基化主要具有细胞毒性,诱变性较低,但最近的体内数据表明,复制阻断病变N3-甲基腺嘌呤(N3-MeA)具有诱变性[5]。
内源性烷基化(甲基化)可由细胞内甲基供体S-腺苷-1-蛋氨酸(SAM)[6]通过亚硝基化[7]发生。SAM通过SN2机制作用并生成N7-甲基鸟嘌呤(N7-MeG)和N3-MeA[6,8],而甘氨酸和甘氨酸衍生物以及胆汁酸的酶促亚硝基化主要形成O6-烷化剂[7,9,10]。此外,胃和肠道中的细菌会催化摄入食物中的各种仲胺发生亚硝化作用,从而形成亚硝胺(见下文)。
环境中发现的大多数烷化剂都属于亚硝胺类。亚硝酰胺类化合物经常被用于基础研究或作为治疗各种肿瘤的药物。此外,烷基磺酸盐和氮芥等化合物也可通过DNA烷基化发挥作用。
1.1
亚硝胺(N-亚硝胺)
亚硝胺是指化学结构为R1R2N-N=O (R=芳基或烷基)的化合物。它们是促癌物质,需要通过新陈代谢激活才能形成烷化剂。亚硝胺在CYP450单氧化酶的作用下发生酶α-羟基化反应,形成脱烷基化的初级亚硝胺,然后进一步分解成重氮离子。重排和随后的氮消除导致形成硒离子,即最终的DNA烷基化物种(有关亚硝胺化学的详细信息,请参阅 [11])。目前已知约有300种结构不同的亚硝胺[12],其中20多种已通过国际癌症研究机构(IARC)的人类致癌性评估[13]。亚硝胺普遍存在于环境(水、空气、食物)中,例如烟草烟雾和工业加工过程中。表1列出了在食品、个人护理产品和药物中发现的重要亚硝胺。
表一. 重要的亚硝胺、形成的DNA烷基化加合物及其来源。
1.1.1 作为食品污染物的N-亚硝胺
在环境中发现的第一种亚硝胺是N-亚硝基二甲胺 (NDMA),它是饮食中最常见的N-亚硝基化合物 (NOC)[14]。在熏鱼、熏肉、香肠和奶酪以及啤酒和饮用水等饮料中都检测到了亚硝胺[14]。除NDMA外,食物中还检测到其他几种亚硝胺(表1和图2),包括N-亚硝基二乙胺(NDEA)、N-亚硝基哌嗪(NPIP)和N-亚硝基吡咯烷(NPYR)[15]。固化过程、温度和仲胺的含量是影响食品中亚硝胺形成的主要因素[16]。此外,胃肠道,特别是胃和大肠中也会内源性生成NOC [17]。研究显示,在啮齿动物模型和人类志愿者中,摄入膳食中的血红素或含血红素的红肉会增加内源性NOC的形成[18-21]。粪便中的 NOC含量以表观亚硝基化合物总量(ATNCs)的形式测定,其主要成分包括N-亚硝胺、S-亚硝硫醇和亚硝基铁[19,21]。
图二. 食品、化妆品、烟草烟雾和药物中发现的重要亚硝胺的化学结构。NDMA: N-亚硝基二甲胺;NDEA:NPIP:N-亚硝基哌啶;NPYR:N-亚硝基吡咯烷;NDELA:N-亚硝基二乙醇胺;NNK:尼古丁衍生亚硝胺酮;NNAL:尼古丁衍生亚硝胺醇;NNN:N'-亚硝基烟碱;NMBA:N-亚硝基-N-甲基-4-氨基丁酸;NDIPA:N-亚硝基二异丙基胺;NIPEA:N-亚硝基乙基异丙基胺;NMPA:N-亚硝基甲基苯胺
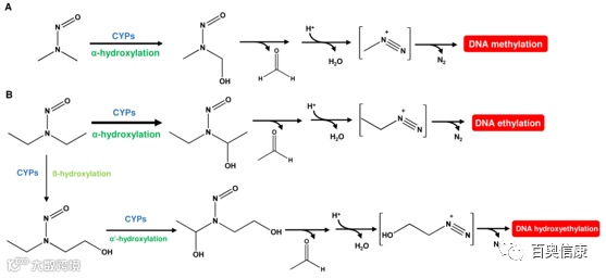
如上所述,N-亚硝胺必须经过代谢活化才能造成DNA损伤。NDMA主要由CYP2E1代谢,但也可由CYP2A6 通过α- 羟基化代谢[22]。这会产生甲基偶氮离子,与DNA发生反应,形成N7-甲基鸟嘌呤(N7-MeG)、N3-甲基腺嘌呤(N3-MeA)和O6-甲基鸟嘌呤(O6-MeG)等最常见的病变(图3A)[23]。O2-甲基胸腺嘧啶(O2-MeT)和 O4-甲基胸腺嘧啶(O4-Me)仅在极低水平上被检测到[23]。玖二乙醇胺主要由CYP2A6通过α-羟基化激活[24],从而形成相应的乙基化DNA碱基,即N7-EtG、N3-EtA、O6-EtG、O2-EtT和O4-EtT,作为普遍的加合物[25]。作为一个次要途径,NDEA 可能发生β-羟基化(图3B)。这会产生2-羟乙基偶氮离子和DNA加合物,如N7-HOEtG,但这种加合物的含量非常微小[26]。还值得注意的是,在氢键磷酯氧处检测到了50%以上的乙基加合物 [25]。
图三. NDMA和NDE的代谢活化途径。A. N-亚硝基二甲胺(NDMA)在CPYs的作用下发生羟基化反应,形成N-亚硝基(羟甲基)甲胺。这种I期代谢物在甲醛和水的作用下重新排列为不稳定的甲基偶氮离子,然后甲基化 DNA。B. N-亚硝基二乙胺(NDEA)主要通过CYPs在α碳处羟化。羟化后的代谢物在乙醛和水的作用下重新排列为不稳定的乙基二氮离子,从而导致DNA乙基化。玖二乙醇胺还可通过β-羟基化这一次要途径,形成不稳定的羟乙基二氮离子,使DNA发生羟乙基化反应。
NPIP和NPYR以及其他与食物有关的亚硝胺的代谢活化和DNA加合物形成最近在其他地方进行了综述 [27]。
1.1.2 化妆品中的杂质N-亚硝胺
N-亚硝基二乙醇胺(NDELA)被发现是化妆品中最主要的亚硝胺杂质[28],据报道它是 CYP2E1介导的毒性作用的底物[29]。NDELA可通过α-和β-羟基化途径进行代谢。NDELA的β羟基化会形成N-亚硝基-2-羟基吗啉,随后产生乙二醛,而α羟基化会产生2-羟乙基二氮离子[30]。因此,会形成羟乙基和乙二醛DNA加合物 [31]。
1.1.3 吸烟形成的N-亚硝胺
亚硝胺的另一个来源是香烟烟雾,其中含有烟草特有的亚硝胺[32]。其中,尼古丁的亚硝基化产物,即N-亚硝基烟碱(NNN)和尼古丁衍生亚硝胺酮(NNK),已被证明会导致癌症风险[33-35]。此外,阿那巴新和阿那他滨的亚硝基化会生成N-亚硝基阿那巴新(NAB)和N-亚硝基阿那他滨(NAT)。NNK和NNA还原生成烟碱衍生的亚硝胺醇(NNAL)和异-NAL,而NNA氧化生成异-NAC。NNK通过肝脏CYP2A6和呼吸道CYP2A13进行代谢活化,后者的效率更高 [36,37]。据报道,NNAL也会通过肺部CYP2A13进行代谢[38]。NNK的代谢会产生硒离子或吡啶氧丁基化(pob)试剂,从而形成DNA甲基化加合物(N7-MeG、N3-MeA、N3-MeG、O6-MeG、O4-MeG)和各种pob加合物,其中包括O(6)-[4-氧代-4-(3-吡啶基)丁基]鸟嘌呤(O6-pobG)[39]。因此,在暴露于NNK的大鼠体内,O6-pobG是继相应的N7烷基鸟嘌呤加合物7-[4-(3-吡啶基)-4-氧代丁基]-鸟嘌呤(N7-pobG)之后第二个常见的吡啶氧代丁基化产物[40]。研究表明,NNN可通过CYP2A6和 CYP3A4代谢[41]。与NNK相反,NNN只诱导pob加合物,其中包括O6-pobG[42,43]。在大鼠体内,DNA甲基化和DNA吡啶氧丁基化是NNK和NNN诱导的致癌过程中的重要事件 [44],而在小鼠肺部,DNA甲基化的相关性似乎更高[45]。如需进一步了解烟草特异性亚硝胺的代谢和DNA加合物的形成,我们推荐最近发表的一篇综合综述 [39]。
1.1.4 药物中的杂质N-亚硝胺
几年前,在不同批次的沙坦类药物中检测出亚硝胺[46],这是一种血管紧张素受体阻滞剂,也是常用的降压药。这些沙坦类药物(缬沙坦和其他药物)每片含有高达20µg的NDMA [47],这引起了人们的极大关注,导致欧洲和美国最大的一次药物召回。二甲双胍是一种用于治疗2型糖尿病的药物,在2019年底被证明含有NDMA [48]。对包括二甲双胍活性药物成分(API)和药物产品在内的1000多个样本进行的详细分析显示,所有样本中约有18%的NDMA超过了32ppb的限值,该限值基于NDMA的可接受摄入量(AI)(96纳克)乘以API的最大日剂量[49]。可接受摄入量是根据国际化学品管理委员会关于药品中基因毒性和潜在致癌杂质的M7(R1) 准则确定的,代表与10-5的理论癌症风险相对应的每日终身摄入量[50]。有趣的是,大多数原料药样品中没有NDMA杂质,而大量成品剂型中的NDMA 污染水平高于AI。在其他药物中也发现了亚硝胺,包括组胺受体拮抗剂雷尼替丁和抗生素利福平[51]。除了NDMA和NDEA等短亚硝胺外,在原料药及其产品中还发现了更复杂的亚硝胺,例如N-亚硝基-N-甲基-4-氨基丁酸(NMBA)、N-亚硝基乙基异丙基胺(NEIPA或NIPEA)和N-亚硝基甲基苯胺(NMPA)[52]。此外,还检测到了源自原料药的亚硝胺。部分烟碱乙酰胆碱受体激动剂和戒烟辅助药物伐尼克兰含有杂质N-亚硝基伐尼克兰,因此被召回[53]。最近,含有沙丁胺醇原料药的Ventolin药物也因三个批次中的N-亚硝基沙丁胺醇杂质而被召回[54]。原料药衍生的亚硝胺是否也会出现在其他药物中,目前是一个需要深入研究的问题。
1.2
亚硝酰胺(N-亚硝酰胺)
亚硝酰胺是指化学结构为R1C(=X)N(-R2)-N=O (R:可分为N-亚硝酰胺(R1 C(=O)N(-R2)-N=O)及其衍生物N-亚硝基脲(R1R2N(=O)N(-R3)-N=O)、N-亚硝基胍(R1R2N(=NH)N(-R3)-N=O)和N-亚硝基氨基甲酸酯(R1-O-C(=O) N(-R2)-N=O)。与亚硝胺不同,亚硝酰胺不需要代谢活化,而是在水介质中自发分解,形成重氮离子,最后形成作为烷基化物种的硒离子。亚硝酰胺中最重要的一类是N-亚硝基脲类,其中包括用于基础研究的高诱变化合物和用于抗癌治疗的多种化合物(表2和图4)。
表二. 重要的亚硝酰胺、DNA 烷基化加合物及其来源。
图四. 重要亚硝酰胺的化学结构。MNU:N-甲基-N-亚硝基脲;ENU:N-乙基-N-亚硝基脲;BCNU:1,3-双(2-氯乙基)-1-亚硝基脲;CCNU:1-(2-氯乙基)-3-环己基-1-亚硝基脲;MNNG:N-甲基-N'-硝基-N-亚硝基胍。
N-甲基-N-亚硝基脲(MNU)及其葡萄糖衍生物链脲佐菌素(N-(methylnitr osocarbamoyl)-α-D-glucosamine )代表了第一代甲基化抗癌药物,可形成N7-MeG、N3-MeA、N3-MeG 和O6-MeG [55]。卡莫司汀和洛莫司汀等氯乙基化剂被用作治疗胶质母细胞瘤、星形细胞瘤、恶性黑色素瘤、胃肠道癌和胰腺癌以及霍奇金淋巴瘤和非霍奇金淋巴瘤的抗癌药物[56]。除其他外,这些药物会对鸟嘌呤的O6-位进行氯乙基化,形成O6-氯乙基鸟嘌呤(O6-ClEtG)。这种加合物不稳定,会发生分子内重排,形成N1,O6-乙硫鸟嘌呤加合物,随后形成N1-鸟嘌呤-N3-胞嘧啶链间DNA交联[57]。除了上述N-亚硝基脲类之外,MNNG(N-甲基-N'-硝基-N-亚硝基胍)也在多项研究中被用作 SN1-甲基化药物。
1.3
其他烷化剂
如上所述,MNU最初被用作抗癌药物。然而,由于其不稳定的性质,它被新设计的化合物丙卡巴嗪(PCB,PCZ,N-甲基肼,Natulan®,Matulane®)和达卡巴嗪(DIC,咪唑羧酰胺,二甲基-三氮唑-咪唑羧酰胺,DTIC®-Dome)所取代,这两种化合物产生类似的反应性烷化物种(表3和图5)[55]。然而,细胞色素P450的代谢活化是必要的,这可能是抗癌治疗的一个障碍。最新一代的药物是替莫唑胺(TMZ,Temodal®,Temodar®),它不需要代谢活化,已用于临床,优先用于治疗恶性胶质瘤 [58]。TMZ会自发分解成甲基三氮烯咪唑羧酰胺(MITC),最后产生与NDMA类似的甲基硒离子[59]。不属于亚硝酰胺和亚硝胺类的其他烷化剂是烷基磺酸盐,如甲磺酸乙酯(EMS)、甲磺酸甲酯(MMS)和布磺(1,4-丁二醇的甲磺酸二酯)。这些烷基磺酸盐发生SN2反应,因此主要产生N7-MeG和N3MeA [60]。
表三. 其他烷化剂、DNA 烷化加合物及其来源。
图五. 其他烷化剂的化学结构。TMZ:替莫唑胺;MMS:甲磺酸甲酯;EMS:甲磺酸乙酯。
参考文献
1.Z. Fur Krebsforsch. 1967, 69, 103–201.
2.Mutat. Res.1990, 231, 11–30.
3.DNA Repair 2007, 6, 1079–1099.
4.Proc. Natl. Acad. Sci. USA 1984, 81, 6271–6275.
5.Cell Rep. 2021, 34, 108864.
6.EMBO J. 1982, 1, 211–216.
7.J. Bacteriol. 1996, 178,5105–5111.
8.Carcinogenesis 1982, 3, 349–351.
9.Cancer Res 1997,57, 366–369.
10.Cancer Res. 1985, 45, 1367–1371.
11.J. Org. Chem. 2021, 86, 2037–2057.
12.Proc. Soc. Exp. Biol.Medicine. Soc. Exp. Biol. Med. 1997, 216, 181–191.
13.https://monographs.iarc.who.int/list-of-classifications
14.Mutat. Res. 1999, 443, 129–138.
15.Chemosphere 2018, 210, 1124–1136.
16.Meat Sci. 2014, 98, 392–403.
17.Carcinogenesis 2013, 34, 2435–2442.
18.Cancer Res. 2006, 66,1859–1865.
19.Carcinogenesis 2009, 30, 1402–1407.
20.Cancer Prev. Res. 2010, 3, 852–864.
21.Arch. Toxicol. 2021, 95,2507–2522.
22.Carcinogenesis 1992,13, 1789–1794.
23.Carcinogenesis 1986, 7, 393–403.
24.Mol. Carcinog. 1993, 7, 268–275.
25.Pharmacol. Ther. 1996, 71, 57–81.
26.Carcinogenesis 1986, 7, 1335–1337.
27.Int. J. Mol. Sci. 2022, 23, 4559.
28.Anal. Bioanal. Chem. 2005, 381, 681–685.
29.Mutat. Res. 2008, 643, 64–69.
30.Chem. Res. Toxicol. 2002, 15, 457–469.
31.Chem. Res. Toxicol. 2002, 15, 470–482.
32.Chem. Res. Toxicol. 2008, 21, 160–171.
33.J. Natl. Cancer Inst. 1978, 60, 819–824.
34.Cancer Res. 1986, 46, 4162–4166.
35.Carcinogenesis 1988, 9, 875–884.
36.J. Biol. Chem. 2012, 287, 26576–26585.
37.Chem. Res. Toxicol. 2005, 18, 913–918.
38.Drug Metab. Dispos. Biol. Fate Chem. 2003, 31, 1199–1202.
39.Int. J. Mol. Sci. 2022, 23, 5109.
40.Chem. Res. Toxicol. 2006, 19, 674–682.
41.Carcinogenesis 1997, 18, 1623–1630.
42.Mutat. Res. 1999, 424, 127–142.
43.Cancer Res. 1986, 46, 498–502.
44.Cancer Res. 1994, 54, 1205–1211.
45.Cancer Res. 1991, 51, 5557–5564.
46.J. Natl. Cancer Inst. 2005, 97, 1330–1338.
47.https://www.fda.gov/drugs/drug-safety-and-availability/laboratory-analysis-valsartan-products
48.https://www.ema.europa.eu/en/news/ema-updatemetformin-diabetes-medicines
49.AAPS J. 2022, 24, 56.
50.Guideline ICH M7 (R1)—Assessment and Control ofDNAReactive (Mutagenic) Impurities in Pharmaceuticals to Limit Potential Carcinogenic Risk
51.J. Pharm. Sci. 2021, 110, 3118–3128.
52.https://www.fda.gov/regulatory-information/search-fda-guidance-documents/control-nitrosamine-impurities-human-drugs
53.https://www.fda.gov/safety/recalls-market-withdrawals-safety-alerts/pfizer-expandsvoluntary-nationwide-recall-include-all-lots-chantixr-varenicline-tablets-due-n
54.https://www.hsa.gov.sg/announcements/product-recall/recall-ofventolin-2mg-tablets
55.Cancer Res. 1961, 21, 1154–1164.
56.Curr. Med. Chem. 2012, 19, 364–385.
57.Mutat. Res. 1990, 233, 117–126.
58.New Engl. J. Med. 2005, 352, 987–996.
59.Curr. Mol. Pharmacol. 2012, 5, 102–114.
60.Mutat. Res. 1999, 427, 67–78.
✦
关于我们
江苏百奥信康医药科技有限公司是一家以新药研发驱动制药全产业链发展的高科技创新型医药企业。公司以研发自我持有的改良型新药和高端特色仿制药产品为主业,构建核心技术平台,同时为国内外客户提供新药和仿制药产品的研发服务。

版权及免责声明
「百奥信康」公众号推送的内容来源于原创或根据公开资料整理编辑,欢迎个人转发至朋友圈。媒体或机构如需转载,请完整注明:本文转载自百奥信康公众号(ID: BioScenePharma);作者栏请填写:百奥信康;并插入百奥信康公众号链接。
本公众号的目的在于分享行业相关知识、传递最新医药资讯。如有侵权,请在留言栏及时告知,我们将及时删除相关信息。本公众号推送的文章中的观点不代表百奥信康的立场,也不是治疗方案的推荐。如需获得诊断或治疗方面的指导,请前往正规医院就诊。

