

声明:本文仅代表作者本人观点,与捷正新材料在线无关。请读者仅供参考,并自行承担全部责任。转载此文是出于传递更多信息之目的。若有来源标注错误或侵犯了您的合法权益,请作者持权属证明与我们联系,我们将及时更正或删除,谢谢。邮箱:edit@lvshine.com
热固性材料固化过程中表面张力的变化
牛俊乐
江苏达美科技有限公司

摘要:表面张力在粉末涂料的固化过程中起着至关重要的作用,关系到其对底材的浸润和附着力、涂层的表观性能及缺陷控制等。
1 引言
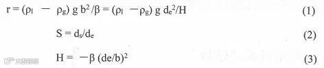
式中:ρ1、ρg分别为液相和气相的密度;r为液体的表面张力;de为悬滴外形的最大直径;ds是与悬滴底部顶点O的垂直距离等于de处的直径,1/H-S关系表可查。
吊片法利用打毛的铂片,测定从液体表面拖拉吊片时液体对吊片的最大拉力(即润湿张力),具有完全平衡的特点。
此方法操作简单,不需要被测液体密度数据,但需要液体很好润湿吊片,以保证接触角为零。根据平衡条件,可以得到
式中:P为吊片的周长;r为液体的表面张力;M为吊片的重量;Fb为吊片所受浮力;Fv为液体对样品施加的黏滞力。
目前,液体表面张力可直接测试得到,但固体的表面能只能利用座滴法或吊片法测试小分子液体与固体表面的接触角,再依照OWRK理论对数据进行分析计算,间接得到固体表面能。
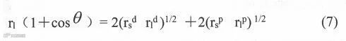
OWRK理论将液体的表面张力和固体的表面能分别分解为独立的色散分量和极性分量,固液两接触相间的界面张力满足如下公式:
将上述方程与杨氏方程结合得到:
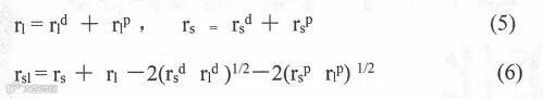
式中:rl、rld、rlp分别为液体表面张力、液体表面张力色散分量和极性分量;rs、rsd、rsp分别为固体表面能、固体表面能色散分量和极性分量;为液体与固体的接触角。
粉末涂料通过静电喷涂以粉末状态吸附在被涂物上面,在一定温度下经过颗粒结聚、熔融铺展及流平、固化后成膜。
将粉末涂料固化过程大致分为凝胶前和凝胶后两个阶段,凝胶前涂料体系为液体,可以通过吊片法测得体系表面张力,凝胶后体系为固体,固体的表面能利用座滴法间接测量。
研究粉末涂料对底材的浸润性,主要是通过气、液、固三相界面处的接触角的大小来表征,当θ>90°表示液体不能浸润固体表面;当θ<90°表示液体能润湿固体表面;当θ=0°即cosθ=1表示液体能完全润湿固体表面。
杨雲予等人利用接触角测量仪在恒温180℃下,拍出了不同时刻圆柱状粉末涂料在铝合金钛锆膜上的熔融和铺展过程图,并记录了的润湿角,为研究粉末涂料固化过程中,凝胶前的接触角变化提供了依据。


如图1所示,从涂料的形态上看,粉末在烘烤过程中的0~1.5min,涂料颗粒开始熔融、结聚,发生最大程度的膨胀趋势。
而从1.5~4min,涂料的体积开始逐渐收缩,在铝合金钛锆膜表面形成一层表面张力局部均匀的分子层,此时处于流平阶段,4min以后,涂料体积收缩得更小,在铝合金表面铺展程度更大,到7min,涂料达到稳态,不再发生改变。
一直到烘烤结束的这段时间,是涂料开始固化的时间,内部的环氧树脂与固化剂间发生交联固化反应,从而形成均匀且附着力良好的有机涂层。
由图2可知,环氧树脂粉末涂料在熔融铺展过程中的对钛锆膜的润湿角整体呈降低趋势,润湿角由1.5min时的136°逐步降低至流平终点的74.6°。
这说明环氧树脂粉末涂料对钛锆膜的润湿性良好,能够自发地在涂层表面进行铺展,且涂层具有良好的附着力。
邓锐用吊片法测试了含固化剂的氰酸酯树脂体系在恒定温度120℃下固化过程中表面张力随时间的变化规律,如下图所示。
从图3中,我们可以看到含固化剂的氰酸酯树脂体系在恒温温度120℃下表面张力变化关系为线性增加段和表面张力突降段。
作者认为在较长的未固化的时间段内,树脂表面张力呈线性增加,可能是由于局部官能团反应使体系相变,表面能变化较大导致的表面能增加。
而凝胶点后的树脂体系由凝胶化变为玻璃化,传统测试液体的方法已经不能测出其表面张力,因此凝胶后树脂的表面张力必须以测固体表面能的方法测得。
马全胜利用座滴法间接测试凝胶后固态树脂的表面能,为研究粉末涂料凝胶后固态表面能测试提供了一种测试方法。
具体方法是将小分子液体滴到固体树脂表面,利用视屏方法在线测试小分子液体与树脂片之间的接触角,按照OWRK等理论对数据进行分析,计算固体的总的表面能,及其极性分量与色散分量。


表2为实验所用小分子液体的表面张力及极性、色散分量,表3为环氧618-咪唑体系70℃不同固化时刻下的树脂体系与小分子液体的接触角。

表面张力在粉末涂料熔融、流平过程中及固化膜与底材的附着力方面有着重要作用,掌握固化过程中不同阶段表面张力的测试方法并获得粉末涂料固化过程中表面张力变化,对提高粉末涂料涂膜的附着力及避免固化过程涂膜表面缺陷的产生具有重要意义。

