

声明:本文仅代表作者本人观点,与捷正新材料在线无关。请读者仅供参考,并自行承担全部责任。转载此文是出于传递更多信息之目的。若有来源标注错误或侵犯了您的合法权益,请作者持权属证明与我们联系,我们将及时更正或删除,谢谢。邮箱:edit@lvshine.com
耐热粉末涂料配方及性能特点
前言
1、耐热环氧粉末涂料的性能要求
1.1耐热性
耐热性是最重要的性能指标,有些产品不一定长期在某一高温下使用,因此,耐热性又可分为长期和短期两种。
根据使用对象及其它方面的性能要求,选择恰当的改性环氧树脂,固化剂和颜填料,才能达到价廉物美的目的。
1.2机械性能
包括初期和后期的机械性能。由于固化剂和颜填料的选用上受到一定的限制,其机械性能比一般粉末涂料的要求可略为降低;但后期机械性能不能降低太多,这点是很重要的。
1.3防腐性能(包括耐化学性能)
环氧树脂的防腐性能比较好,因此,环氧粉末涂料完全能达到这方面的要求。
1.4外观
包括平整度、光泽,颜色等性能。平整度可根据使用对象不同而有所区别。一般应允许有轻微的桔皮。光泽大都要求平光和亚光,这是完全可以达到的。
至于颜色,特别是浅颜色,要做到一点不变比较困难。可适当加入抗氧剂和受阻胺等加以解决。
1.5贮存稳定性
由于不是高温快固,而且选用树脂的Tg较高,因此贮存稳定性应该是没有问题的。
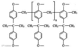
2、耐热环氧粉末涂料的原料
2.1环氧树脂种类的选择
一般采用双酚A环氧树脂。其它耐热性好的环氧树脂有:
(1)双酚A酚醛环氧
溶点65℃,环氧当量201,Tg=224℃;综合性能良好。
结构式为:

(2)萘环酚醛型环氧
熔点110~115℃,环氧当量240~275,Tg=300℃。熔融粘度低,粘结力强。
结构式为:

(3)二苯型环氧[YX-4020H(日本油化シエ/C)]
结构式为:

(4)4-4'-二氨基二苯甲烷四缩水甘油胺(TGDDM)[ELM434(日本住友化工)];环氧当量117~134,最高Tg=240℃。
结构式为:

2.2环氧树脂的改性
2.2.1有机硅树脂改性
聚硅氧烷改性环氧树脂,既能降低环氧树脂的内应力,又能增加环氧树脂的柔韧性和耐高温性能。
通过聚硅氧烷的活性端基(Si—OH,—NH2,烷氧基等)与环氧树脂的环氧基、羟基反应,生成嵌段高聚物。
例如,将环氧树脂的环己酮溶液与活性有机硅的二甲苯溶液加入三口烧瓶中,加入催化剂三乙酰丙酮铝,升温至回流温度,反应完成后,减压蒸出溶剂;
即得有机硅改性环氧树脂。将环氧树脂与甲基苯基硅树脂机械混合,也可达到改性的目的。例如:
甲基苯基硅树脂粉(100~250目)100份;环氧树脂(100~250目)45份;铅玻璃粉(熔点450℃,200~400目)150份;Fe2O3(1μm)3份,所得粉末涂料能经受500~700℃高温不剥落。
2.2.2苹果酰胺(malamide)化合物改性
苹果酰胺化合物的结构式为:

苹果酰胺改性环氧粉末涂料配方及性能如下:
苹果酰胺化合物30份;环氧树脂70份;线型甲酚醛树脂50份;二甲基咪唑2份,耐结块性良好;初期剪断接着力/(kg·cm-2)15;耐热率*/%80*:试片经200℃放置1000h后测定剪断接着力与初期剪断接着力之比。
2.3纳米填料改性环氧树脂
用硅偶联剂通过原位分散聚合法制备的纳米SiO2环氧树脂复合材料,对环氧树脂起到较好的增强增韧作用;并提高了环氧树脂的耐热性能。
纳米SiO2改性环氧树脂制备方法:在搅拌状态下将已烘干的纳米SiO2加到有偶联剂的丙酮溶液中,然后用超声波处理30min。
将该溶液和环氧树脂搅拌均匀后脱除溶剂,升温至130℃反应1h,冷却后即可。全球涂料网了解到,纳米蒙脱土改性环氧树脂也可提高环氧树脂的耐热性能和阻燃性能。
2.4固化剂的选择
固化剂的种类对环氧树脂的耐热性也有很大影响。一般来说,酸酐类固化剂的耐热性较好。
比较通用的固化剂有以下几种:
(1)均苯四甲酸酐(PMDA)
熔点280℃,热变形温度290℃。
(2)苯酮四酸二酐(BTDA)
熔点227℃,热变形温度大于280℃。
(3)偏苯三酐咪唑酯
其结构式为:

式中:R1——苯基,R2——氰乙基。化学名称为:苄氰乙基-2-苯基咪唑一偏苯三甲酸(商品名キュアゾ一ル2MZ-CNS,日本四国化成厂)。
(4)硼酚醛树脂(FB酚醛树脂)
以硼酸、硼砂,双酚A和甲醛水溶液为原料,在NaOH催化下缩聚而成。其结构式为:

已商品化的F系列固化剂可使环氧树脂耐300~400℃高温,而且仍然保持较高粘结强度。
2.5颜填料的选择
颜填料对环氧粉末涂料的耐热性能有很大的作用,选用适当的颜填料,可以显著提高环氧粉末涂料的耐热性能。
2.5.1颜料的选择
一般无机颜料的耐热性较好,大部分可以采用。黑色颜料可采用铬铜颜料(SheperdColor公司生产)。铝粉耐热性也很好,但高温下易变色;可预先用氟碳树脂作包覆处理。
2.5.2填料的选择
一般无机填料均有较好的耐热性,其中比较适用的是硅灰粉(硅酸钙)和云母粉。两者可单独使用,也可按一定比例配合使用。
具体型号如:硅灰粉NyadM400(Nyco公司),金云母Surorite325HK(加拿大Surorite云母公司)。六钛酸钾晶须也可采用,它除耐热性好外,还可提高涂层的硬度、耐磨性,耐化学稳定性和耐候性,用量为5%~30%。
2.5.3低熔点玻璃粉
低熔点(400~500℃)玻璃粉是由氧化硅、氧化钠、氧化钾,氧化硼为原料制备而成;其细度在10μm以下;一般为空心球状;比重0.4,如美国PQ公司生产的Q-Cell7040S等。使用量为10%~50%。还可加入少量玻璃助熔剂。低熔点玻璃粉也可用氟锆酸钡(BaZr2F10)代替。
3、耐热环氧粉末涂料配方举例
(1)线圈用环氧粉末配方及性能如下:
环氧树脂(Epikote1001)15份;环氧树脂(Epikote1002)15份;环氧树脂(Epikote1007)30份;甲酚醛环氧树脂40份;硅酸钙35份;CaCO335份;流平剂0.3份;缩丁醛树脂3份;二苯酮四甲酸酐24.5份;甲酚醛树脂(OCN-120)9份;三苯膦0.5份
固化条件:180℃,30min。Tg147℃;胶化时间(200℃)/s25;耐热性(450℃,5min)无变化(可变色)
(2)用偏苯三酐-咪唑固化环氧粉末的配方及性能如下:
环氧树脂(Epikote1007)20份;环氧树脂(Epikote1004)20份;线型酚醛环氧树脂(EPPN201)40份;线型甲酚醛环氧树脂(EPCN104)20份;硅灰粉(或云母粉)30份;CaCO330份;流平剂0.3份;双氰胺2份;偏苯三酐-咪唑酯固化剂6份;外观优良
胶化时间(200℃)/s10~11;胶化时间(贮存后)/s8~9;耐热性/℃450~480;贮存稳定性(40℃,7d)良好。
结语

