
锐光凯奇(镇江)光电科技有限公司专注于发展高端科研仪器集成化,是可以提供整个科研仪器系统集成化的供应商,为客户提供优质、高效的服务。前段时间,很多读者反映希望能够详细介绍各种各样的比较新颖的成像技术。本期公众号非常荣幸地再次邀请到前英国华威大学工程系研究员蒋式弘博士为大家详细介绍用位相型光学膜片实现超分辨共焦扫描显微。欢迎更多的专家学者、研究生和我们一起分享研发经验和科研成果,共同提高,为光学事业做出贡献!
物理光学告诉我们,光学显微镜是一个衍射受限系统,一个几何发光点经系统成像后,由于衍射的作用,其强度分布不再是一个点,而是一个弥散斑,称为爱里斑。根据瑞利判据,当两个很靠近的点物的爱里斑的距离和爱里斑的半径相等时,该两物点恰好能被分辨。因此爱里斑的大小决定了显微镜的分辨能力,而爱里斑的大小和波长和数值孔径有关。采用短波长和大数值孔径物镜是提高分辨率的主要途径,但是具有局限性。光学系统对发光点的响应称为点扩散函数(PSF)。研究发现,通过改变照明方式或对光瞳函数进行调制,可以使点扩散函数主瓣变窄,从而达到提高横向分辨率的目的,这类方法也称为点扩散函数改造(PSF engineering)。例如,在共焦扫描显微系统中,系统点扩散函数是普通显微镜的平方,中央主极大半径收窄到爱里斑半径的70%,横向分辨率是普通显微系统的1.4倍。如果物镜采用环形光瞳,则可以使中央主极大进一步收窄到58%,横向分辨率是普通显微镜的1.72倍[1]。但是用环形光瞳提高分辨率的设想很难实施,因为在现实中不存在物理上无限细的环形光瞳。并且环形光瞳遮光严重,不适宜用于观察发光强度低的样品。
三十多年前,意大利热那亚大学的Mario Bertero教授和伦敦大学国王学院物理系Roy Pike教授共同将奇异值理论应用于共焦扫描显微系统[2],提出了相对于瞳面调制的像面调制方法,使横向分辨率得到进一步提高。在共焦扫描显微系统中,用探测器列阵取代针孔探测器,将采样范围扩大到整个像面以充分利用来自样品的衍射光,经过数据处理后重构出一幅超分辨图像[3]。由于光学探测器无法记录相位信息,又发展出用位相型光学膜片取代探测器列阵对像函数进行相位调制,从而实现实时光信息处理。笔者参加了二维相干共焦扫描显微成像实验验证工作,取得了和圆形-环形光瞳相同的超分辨率[4]。
基本原理
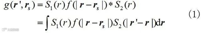
见图1,设物函数为f,rs为扫描位置矢量,r代表物平面上任一点的位置矢量,其模r=|r|。S1和S2分别为透镜L1和L2的振幅点扩散函数,物平面上的复振幅可以写为S1(r)f(|r-rs|)。考虑相干成像,则像平面上的复振幅是S1(r)f(|r-rs|)和S2(r)的卷积:

方程 (1) 称之为第一种Fredholm积分方程。通过已记录的像函数g和已知的点扩散函数S1, S2来求解物函数f,是一个求解积分方程的反算问题(inverse problems)。

关于 Fredholm积分方程的求解问题,有很多文献可以查阅,本文只给出一些有关结论。根据奇异值理论,方程(1)的解为

其中m(r')是一个由奇异值和奇异函数表示的无穷级数。为节省篇幅,这里略去了m(r')的具体表达式。但必须指出,由于像函数中存在噪声,因此存在一个阈值,大于此阈值的项才有意义,其它项则被噪声淹没。所以只能得到f+(rs)的近似解。对于一维问题,透镜点扩散函数为





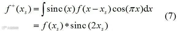
普通一维相干显微镜的像可表示为物函数和振幅点扩散函数的卷积

比较(7)和(8),可见在一维相干共焦扫描显微镜中,如果将采样范围扩大到整个像面,用余弦函数乘以像函数,再将乘积积分,所得到的图像的横向分辨率为普通显微镜的两倍。

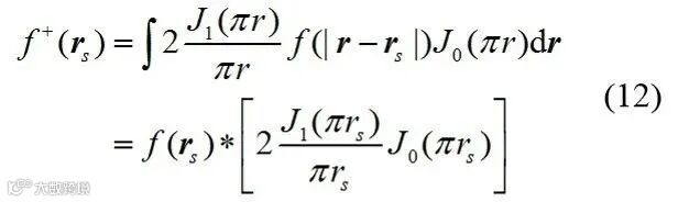
其中,J1(r)为一阶贝塞尔函数。根据奇异值理论,函数m(r')没有解析形式。但是受一维问题的启发,m(r')会不会是一个零阶贝塞尔函数呢?因此假设



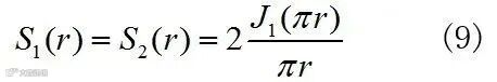
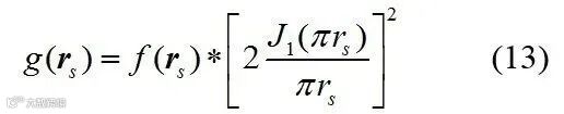
如果在像平面上放一针孔,则r'=0,方程 (1) 变成为标准相干共焦扫描显微镜成像公式,像函数为物函数和两透镜振幅点扩散函数S1(r)S2(r)的卷积。对于圆形-圆形光瞳,

比较(12)和(13),可见在圆形-圆形光瞳相干共焦扫描显微镜中,如果将采样范围扩大到整个像面,用零阶贝塞尔函数乘以像函数,再将乘积积分,系统的响应和圆形-环形光瞳完全相同,因为环形光瞳的傅里叶变换(振幅点扩散函数)为零阶贝塞尔函数。
在利用(2)式进行数据处理时首先遇到的困难是像函数的记录。像函数包括振幅和位相信息,但是所有的光探测器只能记录强度而不能记录位相。解决的办法是用一个透过系数为m(r') 的光学膜片或空间光调制器对像函数进行调制,但是从膜片函数表达式知道,膜片函数既有振幅又有相位变化,制作这样的膜片难度很大。我们知道纯位相型膜片的制作比振幅位相型膜片容易得多,如果只调制位相而不调制振幅是否可行呢?为简单起见,以一维膜片为例,假如位相型膜片函数为:

当m(r')改变符号,表示相位改变180°。展开成傅里叶余弦级数:



因为像函数的截止频率为π,所以上式中第三项起均为零。因此

由(16),算得傅里叶系数r0=0,r1=4a/π,代入(18)式得

可见位相型膜片完全等效于振幅位相型膜片。将二维位相型膜片展开成傅里叶贝塞尔级数,也可得到同样性质。最后,用一个透镜将调制后的光场汇聚于一点由探测器接收,就能完成(2)式中的积分运算。探测器输出的是强度信号,即(2)式的模的平方。
用奇异值理论计算的膜片在伦敦大学国王学院得到验证后,零阶贝塞尔函数位相型膜片在上海大学再次得到了验证,成果发表在仪器仪表学报1999年第4期增刊上。图2为实验系统示意图。He-Ne激光器发出的光束经扩束和准直,再经透镜L1会聚于一物平面上,被测样品是一个针孔,被透镜L2、L3成象在光学膜片上,再经透镜L4和针孔被光电倍增管接收。光电倍增管输出的信号经过模数转换后输入计算机。扫描工作台由步进电机驱动,步距角为1.5度,工作台螺杆导程为0.5毫米,取扫描步距等于五个步距角,即10.417微米。采样点数为63×63。L1和L2的焦距均等于200毫米,S1、S2为相同的光阑,分别位于L1和L2的焦面上,以保证L1和L2的点扩散函数相同。L3的焦距为300毫米,故放大倍数M=300/200=1.5。膜片委托上海激光技术研究所加工,如图3所示,在玻璃基底上镀膜,然后用光刻法将膜层加工出一系列环状凹槽。凹槽深度为(n-1)λ/2,λ为照明光波长,n为膜层折射率,使相邻环带产生π的位相差。透镜的点扩散函数为

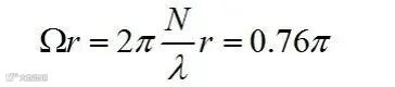
其中,空间角频率Ω=2πN/λ,N为物镜数值孔径。J0(Ωr)的第一个零点为Ωr=0.76π,即

取膜片第一个环带的半径为76微米,则r=76/M微米,已知λ=0.6328微米,解得N=0.0047。显然,在这样小的数值孔径下可以忽略各光学元件象差的影响。


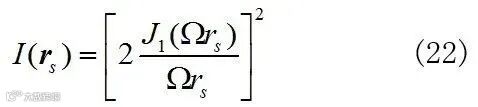
由于样品是一针孔,物函数可用脉冲函数表示。脉冲函数和其它函数的卷积仍为其它函数。当膜片处在光路中时,光电倍增管测到的就是系统的超分辨点扩散函数的平方,即光强度

当光路中没有膜片时,光电倍增管测到的则是普通显微系统的点扩散函数的平方,即光强度

图4为实验结果和理论值的比较。图中左右两列分别是实验结果和理论值。第一行是系统中有膜片,第二行是标准共焦扫描系统,即式(13)模的平方,第三行是系统中没有膜片。三种成像模式点扩散函数理论值的 Matlab 计算代码见附录。可见有膜片时光斑明显变小了,由于膜片不可避免的加工误差,实验结果稍逊于理论值,但还是优于标准共焦扫描系统。

根据实验所给的参数,计算了超分辨显微系统,共焦扫描系统,普通显微系统三种模式的强度点扩散函数的分布曲线,如图5所示。点扩散函数的宽度通常用最大强度的一半所对应的宽度(FWHM)表示。根据图5可以得出,三种模式的FWHM分别为0.0403mm,0.0497mm,0.0693mm,即扫描共焦系统的横向分辨率是普通显微系统的1.39倍,超分辨显微系统的横向分辨率是普通显微系统的1.72倍。

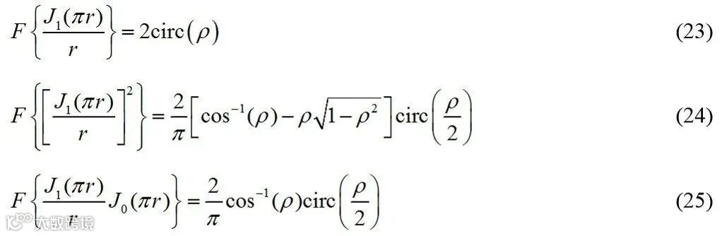
将这三种成像模式的振幅点扩散函数作傅里叶变换就能得到系统的相干传递函数(CTF)。圆孔,圆孔-圆孔,圆孔-圆环系统的相干传递函数分别为[6]:


式(23),(24),(25)的函数图形如图6 (A),(B),(C)所示。可见圆孔-圆孔,圆孔-圆环系统的截止频率都是圆孔系统的两倍,圆孔-圆环系统允许通过的高频成份比圆孔-圆孔系统更多,因而进一步提高了分辨率。



光学膜片像面调制技术避免了瞳面调制遮光严重的缺点,实用性很强。但也有一个缺点,就是纵向分辨率不如圆形-圆形共焦扫描系统[7]。另外,对数值孔径大于0.5的显微系统,标量衍射理论不再适用,必须根据矢量衍射理论计算膜片函数,所得到的膜片函数较为复杂,不再具有旋转对称性[8]。要使该技术得到应用,必须满足数个条件:相干成像,共焦扫描系统,对纵向分辨率要求不高或有其它解决办法。有没有满足以上条件的光学系统呢?答案是肯定的,比如光学相干断层扫描(OCT),高密度光学数据存储等[9]。
根据实验系统参数计算三种成像模式的点扩散函数理论值的Matlab代码
% number of sampling points
n = 63;
% numerical aperture
Na = 0.0047;
% wavelength in mm
lambda =0.6328e-3;
% scanning step in mm
step =10.417e-3;
x = -(n-1)/2:(n-1)/2;
x = x*step;
y = x;
[X,Y] =meshgrid(x,y);
R = sqrt(X.*X+Y.*Y);
Z = Na/lambda*R;
% super-resolved
Isuper =(jinc(Z).*besselj(0,2*pi*Z)).^2;
% standard scanning confocal
Iconf = jinc(Z).^4;
% conventional
Iconv =jinc(Z).^2;
figure(1)
imagesc(x,y,Isuper);
axis image;
colormap gray
title('Super-resolved');
xlabel('x (mm)');
ylabel('y (mm)');
figure(2)
imagesc(x,y,Iconf);
axis image;
colormap gray
title('Standard scanning confocal')
xlabel('x (mm)');
ylabel('y (mm)');
figure(3)
imagesc(x,y,Iconv);
axis image;
colormap gray
title('Conventional')
xlabel('x (mm)');
ylabel('y (mm)');
function[out]=jinc(x)
out=pi*ones(size(x));
i = find(x);
out(i)=besselj(1,2*pi*x(i))./(x(i));
end
1. T. Wilson and C. Sheppard, Theory and Practice of Scanning OpticalMicroscopy. 1984, London: Academic Press.
2. E.R. Pike, R.E.Davies, J.G. Walker, and M.R. Young, Anintroduction to singular systems with applications to confocal scanningmicroscopy. Journal of Microscopy, 1990. 160(1): p. 107-114.
3. M.R. Young, R.E.Davies, E.R. Pike, J.G. Walker, and M. Bertero, Superresolution in Confocal Scanning Microscopy: ExperimentalConfirmation in the 1D Coherent Case. Europhysics Letters (EPL), 1989. 9(8): p. 773-778.
4. M.R. Young, S.H.Jiang, R.E. Davies, J.G. Walker, E.R. Pike, and M. Bertero, Experimental confirmation of superresolutionin coherent confocal scanning microscopy using optical masks. Journal ofMicroscopy-Oxford, 1992. 165: p.131-138.
5. M. Bertero, P.Boccacci, R.E. Davies, F. Malfanti, E.R. Pike, and J.G. Walker, Super-resolution in confocal scanningmicroscopy: IV. Theory of data inversion by the use of optical masks.Inverse Problems, 1992. 8(1): p.1-23.
6. J.D. Gaskill, Linear Systems, Fourier Transforms, andOptics. 1978, New York: John Wiley & Sons, Inc.
7. C.J. Sheppard and T.Wilson, Depth of field in the scanningmicroscope. Opt Lett, 1978. 3(3):p. 115.
8. J. Grochmalicki andR. Pike, Superresolution for digitalversatile discs (DVD's). Applied Optics, 2000. 39(34): p. 6341-6349.
9. U. Brand, G. Hester,J. Grochmalicki, and R. Pike, Super-resolutionin optical data storage. Journal of Optics a-Pure and Applied Optics, 1999.1: p. 794-800.
PS. 锐光凯奇的下一期公众号应该是2月2日推送,考虑到2月1日是中国的传统节日春节,因此我们作为特例,将在2月1日推送下一期内容,敬请关注。
点击下方卡片
关注【锐光凯奇】