
锐光凯奇(镇江)光电科技有限公司专注于发展高端科研仪器集成化,是可以提供整个科研仪器系统集成化的供应商,为客户提供优质、高效的服务。前段时间,锐光凯奇已经推送过有关光片显微镜的内容,很多读者反映希望能够详细介绍各种各样的比较新颖的成像技术。本期公众号非常荣幸地再次邀请到前英国华威大学工程系研究员蒋式弘博士为大家详细介绍同步多平面显微成像。欢迎更多的专家学者、研究生和我们一起分享研发经验和科研成果,共同提高,为光学事业做出贡献!
普通光学显微镜每次曝光只能对一个物平面成清晰像,若要得到不同物平面的清晰像,必须经过调焦后再次曝光。显然,普通光学显微镜无法同时得到物体内部各个不同深度层次的清晰图像。同步多平面显微成像技术就是为克服这个缺点而出现的。这种技术可以通过一次曝光,同时得到若干幅物体在不同深度平面的清晰像,因此特别适合观察三维动态物体,比如活细胞等生物样品。同步多平面技术的关键元件是变形衍射光栅,它是上世纪九十年代英国赫瑞瓦特大学Heriot-Watt University的Alan Greenaway教授首创的[1]。变形衍射光栅类似于一个具有正,负和零光焦度的多焦点透镜,但焦点不在同一条光轴上,实际上是一个偏心的菲涅尔波带片,见图1。当平行光束垂直入射到变形光栅后发生衍射,图中红色代表+1级衍射光束,是向上偏的汇聚光束,光栅表现为一正透镜。黑色代表零级衍射光束,是平行光束,光栅表现为一平行平板。蓝色代表-1级衍射光束,是向下偏的发散光束,光栅表现为一负透镜。光栅的±1级焦距为f±1=±R2/(2W20),其中R为光栅通光半径,W20为离焦系数,代表栅线的弯曲程度。

利用变形光栅这个性质,可以将一个物平面上的物体同时成像在三个像平面的不同位置上,见图2,或将三个物平面上的物体同时成像在同一个像平面的不同位置,见图3。


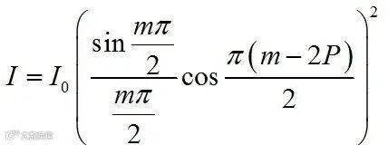
学过物理光学的都知道,受衍射因子的调制,振幅型衍射光栅的不同级次干涉主极大的强度各不相同,零级光强最大,随干涉级次增大,强度减弱。因此在图3中,如果A, B, C强度相同,那么在像面上B’, C’的强度仅为零级A’的40%。而且由于黑条纹挡掉了一半光线,衍射效率很低。为了克服这个缺点,可以借助二值位相型衍射光栅,见图4。各衍射级次的强度可由下式给出:

其中P = h(n-1)/λ,h为刻槽深度,n为折射率,λ为波长。如果适当选取h,n,λ的值,使P = 1/2,即在一个光栅周期内位相变化π,那么零级和所有偶数级次强度为零,±1级强度相等,见图5。如果P = 0.3195,即在一个光栅周期内位相变化0.639π,零级强度不为零,且和±1级强度相等,各占总入射光强的28.8%,总的衍射效率可达到86%,见图6。



二值位相型变形衍射光栅必须专门定制,成本较高,因此通常可以用纯位相型空间光调制器来替代,空间光调制器的优点是可以产生任意形状的光栅和位相变化,以满足各种不同需求。以下是采用纯位相型空间光调制器生成的线性光栅得到的远场衍射图。图7是当P = 1/2的衍射强度分布,图8是当P = 0.3195的衍射强度分布,可见实验结果和理论完全吻合。

图7 空间光调制器产生的衍射强度分布,P = 1/2

图8 空间光调制器产生的衍射强度分布,P = 0.3195
如图9所示,空间光调制器SLM采用的是Holoeye Pluto,分辨率为1080×1920,像素大小为8µm,激光波长为532nm,荧光中心波长为570nm,物镜数值孔径为0.4,样本为6µm荧光小球。当在空间光调制器上产生一个光栅周期为32µm,相位变化为0.639π的线性光栅时(图9左下角),CCD相机拍摄到一幅荧光小球的零级和±1级图像,如图10所示。可见±1级图像中的荧光小球呈椭圆形,这是由于不同波长的荧光衍射角不同所引起的色差。当在空间光调制器上产生一个变形衍射光栅时(图9右下角),随着样品沿远离物镜的方向移动,可以记录到如图11,12,13所示的图像,分别表示在物镜焦平面前,焦平面上,及焦平面后三个平面上的荧光小球图像。显然色差对像质的影响不容忽视,必须加以矫正。


图10 从左至右:+1,0,-1级荧光小球像(线性二值位相光栅)

图11 样品在物镜焦平面前25µm(变形二值位相光栅)


图13 样品在物镜焦平面后25µm(变形二值位相光栅)
赫瑞瓦特大学巧妙地利用闪耀光栅矫正了±1级中的色差[2]。根据衍射光栅方程sinθ=mλ/d 可知,当光栅常数d不变时,衍射角θ和波长λ成正比,这就是产生色差的原因。要使衍射角不随波长改变,就必须使光栅常数随波长的改变而改变,以保持比值λ/d始终不变。由于变形衍射光栅的光栅周期是位置x的函数,因此只要使入射到变形光栅上的光束中心的位置随波长的改变而改变,就能使不同波长光束的衍射角相同。见图14,波长较长的红光的光束中心必须向光栅周期较大的方向移动,波长较短的蓝光的光束中心必须向光栅周期较小的方向移动,而利用一对闪耀光栅就可以实现上述要求。第一块闪耀光栅用来产生预色散,第二块闪耀光栅使色散开的光线保持平行,通过改变两光栅的间距可以调节色散光束位移大小。由于经变形光栅(空间光调制器)衍射的第m级不同颜色的光线互相平行,因此经透镜在照像机表面汇聚于一点,从而达到矫正色差的目的。

华威大学搭建的带像差矫正的同步多平面显微系统如图15所示,图16,17,18分别为荧光小球在物镜焦平面前,焦平面上,焦平面后的像,可以看出,色差得到了很好的矫正。物平面间距ΔZ=2W20/NA2,其中NA为物镜数值孔径。实验中,荧光中心波长λ = 0.570µm,W20 = 3.5λ, ΔZ = 25μm。为了说明同步多平面显微系统如何显示动态物体的三维动态过程,荧光小球溶液被盛放在一个带有深度为0.7mm的凹坑的载玻片中(图19),再放上盖玻片。用相机记录荧光小球在溶液中自由运动过程中的一系列图像,然后快速回放出来,见视频1。根据焦平面及前后三个物平面的图像,我们能够很容易地确定某个荧光小球的空间运动轨迹。





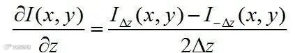
同步多平面显微技术发展很快,从3个物平面发展到了9个,甚至可以达到25个物平面,采用特制的位相型衍射光栅,相邻物平面间距ΔZ可达到380nm [3]。同步多平面成像还可以用于快速波前检测,在自适应光学中有良好的应用前景。根据强度传输方程Transport-of-Intensity Equation

如果已知某一时刻物镜焦平面上的光强I(x,y)分布及其沿光轴方向z的导数,则可以求得该平面上的位相分布 。但是由于强度对光轴的导数无法直接测量,往往用差分形式来近似:

其中IΔz(x,y)和I-Δz(x,y)为距离物镜焦平面Δz的前后两个平面上的光强分布[4]。同步多平面成像技术恰好能够同时记录物镜焦平面及焦平面前后的光强分布,因此利用以上差分格式便能够通过求解TIE得到实时位相分布。
1.P.M. Blanchard and A.H. Greenaway, Simultaneous multiplane imaging with a distorted diffraction grating. Applied Optics, 1999. 38(32): p. 6692-6699.
2.P.M. Blanchard and A.H. Greenaway, Broadband simultaneous multiplane imaging. Optics Communications, 2000. 183(1-4): p. 29-36.
3.S. Abrahamsson, et al., Fast multicolor 3D imaging using aberration-corrected multifocus microscopy. Nature Methods, 2013. 10(1): p. 60-U80.
4.C. Zuo, et al., High-speed transport-of-intensity phase microscopy with an electrically tunable lens. Optics Express, 2013. 21(20): p. 24060-24075.
点击下方卡片
关注【锐光凯奇】