激光共焦扫描显微镜的主要优点是其光学分层能力,即获得特定深度下焦点内 (in focus) 的图像,因此是一种三维光学成像技术。由于共焦扫描显微镜对物体逐点扫描,需要一套复杂的扫描装置,因此价格比较昂贵。英国牛津大学的马克∙尼尔等研究人员于1997年提出了一种结构光照明获得光学切片的新方法[1, 2],并将该项技术于本世纪初商业化,也就是德国蔡司公司生产的ApoTome系列宽场优质光学切片显微镜[3]。它具有结构简单,轴向分辨率优于共焦扫描显微镜的特点。
基本原理

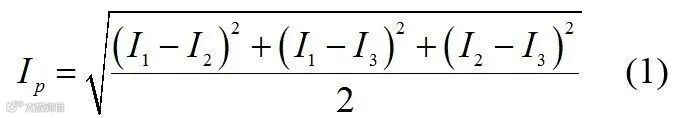
见图1,光源将一维格栅图案投射到物体上, CCD相机获取三幅物体的荧光图像I1, I2, I3,它们分别对应于格栅图案的三个空间横向移动位置。格栅由压电装置推动,每个位置之间相邻120° 空间相位。然后将这三幅图像进行数据处理,

如果选取适当的格栅间距,经处理后的图像Ip便具有和共焦图像一样的光学切片性质。这是因为在常规显微镜中,光学传递函数中的零空间频率成份不随离焦衰减,而一旦叠加了具有非零空间频率的格栅后,我们便能够得到强度随离焦衰减的光学切片图像,但是关键的问题是如何去掉叠加在图像上的条纹。
强度衰减的快慢取决于格栅的空间频率。如果用L表示格栅周期,假设格栅和物平面之间放大倍数为1,则格栅的归一化空间频率

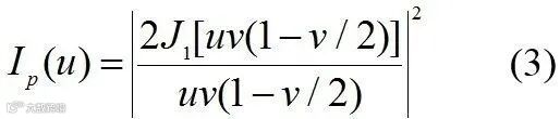
其中λ为光波波长,n为物镜物方折射率,α为物镜孔径角。马克∙尼尔等人给出了当样本为均匀薄片(只有零级频谱)时,系统的轴向强度响应近似公式:

其中

z为轴向位移。
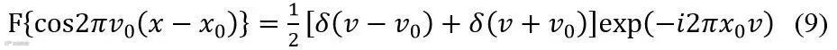
假设一维格栅的透射系数是一组余弦条纹:

其中ϕ0为空间相位。假如采用非相干光照明,格栅经透镜被成像到物体上的光强度为格栅透射系数S和物镜强度点扩散函数H的卷积:

由卷积运算的性质可知,S'等于S和H各自傅里叶变换乘积的逆变换:

根据性质


有


上式中G(u,v) 为H的傅里叶变换,或称为光学传递函数,并注意到G(u,0)=1。对上式作傅里叶逆变换得

比较(11) 和(5),可见强度呈余弦分布的格栅在物体上的非相干图像的光强仍然呈余弦分布,且空间频率不变,只是调制系数改变了。由于G(u,1/L)是离焦量z的函数,所以条纹对比度随着z的增加而减小。假定物函数为O,为叙述方便起见,忽略照明光波长和荧光波长的微小差异,则CCD获得的像函数可写为:

上式说明物函数事先经余弦条纹调制或编码,然后被成像到CCD表面。由(12)式得到的图像还需要解码,即去除叠加在图像上的条纹,因此需要采集至少3幅图像,即分别取公式(5) 中的ϕ0 = 0, 2π/3, 4π/3,每采集一幅图像,格栅移动一次。在ApoTome显微镜中有一个25线/毫米的物理格栅,光线通过旋转的平板玻璃使格栅产生横向位移(见图2)。最后利用公式(1) 得到光学切片图像(见视频)。对物体作轴向扫描可得到一系列光学切片图像,通过图像重构便能够得到清晰的三维图像。
图2 蔡司ApoTome系统的结构光照明原理(图片来自参考文献[4])
该视频来自https://zeiss-campus.magnet.fsu.edu/tutorials/opticalsectioning/apotomevolume/indexflash.html,由于Adobe Flash 播放器已停用,原视频已无法观看。
计算机仿真
下面通过计算机仿真来比较一下结构光照明光学切片显微镜和传统荧光显微镜,以及共焦扫描荧光显微镜的光学切片性能。传统荧光显微镜和共焦扫描荧光显微镜的仿真根据以下模型

其中H1和H2为物镜对λ1和λ2的强度点扩散函数。采用傅里叶光学算法,以MATLAB编写的程序代码见附录。
为了便于和文献[4] 中的结果进行比较,取照明光波长λ1和荧光波长λ2相同,均等于0.5微米,物镜数值孔径为0.5。格栅周期为1微米,以间隔120°相位进行横向移动(见动画)。物体为均匀薄片,以0.5微米的步距从零到4微米远离焦点。仿真结果如图3所示,可见图像的强度在传统荧光显微镜中没有改变,而在共焦扫描和结构光照明显微镜中强度随离焦逐渐减小。各离焦位置的图像强度相对焦点位置图像强度之比值称为轴向分辨率,绘成曲线如图4所示,可见结构光照明显微镜轴向分辨率明显优于共焦扫描显微镜。图4还比较了结构光照明显微镜格栅取不同空间周期(1/L = 1, 0.5, 1.5) 的结果,可以看出当格栅归一化频率v = 1时光学切片能力最强,因为此时,格栅在物平面上的空间频率1/L等于物镜截止空间频率NA/λ,NA=nsinα为数值孔径。图3的结果和文献[4] 中的结果完全一致。在仿真程序中,若将物函数换成9个点物,所得到的结果如图5所示。由于衍射点物的像变成弥散斑,很明显共焦扫描显微镜的弥散斑最小,说明共焦扫描显微镜的横向分辨率高于传统显微镜,而结构光照明系统的横向分辨率和传统显微镜相同。


从上至下:z = 0, 0.5, 1, 1.5, 2, 2.5, 3微米
从左至右:传统荧光显微镜,共焦扫描显微镜,结构光照明光学切片显微镜

图 4 三种成像模式的轴向分辨率

从上至下:z = 0, 0.5, 1, 1.5, 2, 2.5, 3微米
从左至右:传统荧光显微镜,共焦扫描显微镜,结构光照明光学切片显微镜
结语
结构光照明光学切片显微镜具有结构简单,光学切片能力高于共焦扫描显微镜等优点,因此在生物学,医学等领域有广泛的应用。美中不足的是横向分辨率不如后者,另外每次切片需要采集三幅图像,成像速度受到限制,不适合观察动态样本。
附录:MATLAb仿真代码
lambda1 = 0.5; % wavelength of illuminating light
lambda2 = 0.5; % wavelength of fluorescent light
beta = lambda2/lambda1;
Na = 0.5; % numerical aperture
SL = 16; % side length
Rmax1 = 1; % pupil radius at lambda1
Rmax2 = 1/beta; % pupil radius at lambda2
L = 1; % fringe period (micron)
V = lambda1/L/Na; % normalised spatial frequency
n = 256;
dx = SL/n; % sample interval
x = -SL/2:dx:SL/2-dx;
y = x;
[X,Y] = meshgrid(x,y);
R=sqrt(X.*X+Y.*Y);
H1 = R<=Rmax1; % entrance pupil of the lens for illumination
H2 = R<=Rmax2; % entrance pupil of the imaging lens
O = ones(n); % uniform object
% nine point objects
% O=zeros(n);
% O(128,128) = 1;
% O(128,168) = 1;
% O(168,128) = 1;
% O(168,168) = 1;
% O(88,88) = 1;
% O(128,88) = 1;
% O(168,88) = 1;
% O(88,128) = 1;
% O(88,168) = 1;
imageStack = zeros(n/2,n/2,27);
for m = 1:3
for k = 1:9
deltz = (k-1)*0.5; % defocus distance
ph = pi*Na*Na*deltz/lambda1;
F1 = exp(-1i*ph*R.^2); % defocused phase at lambda1
F2 = exp(-1i*ph*beta*R.^2); % defocused phase at lambda2
psf1 = abs(fft2(H1.*F1)).^2; % point spread function at lambda1
psf2 = abs(fft2(H2.*F2)).^2; % point spread function at lambda2
if m==1 % conventional
I = abs(ifft2(fft2(O).*fft2(psf2)));
if k==1
Imax=max(max(I));
end
I = I/Imax;
imageStack(:,:,k)=I(65:192,65:192);
end
if m==2 % confocal
I = abs(ifft2(fft2(O).*fft2(psf1.*psf2)));
if k==1
Imax=max(max(I));
end
I = I/Imax;
imageStack(:,:,9+k)=I(65:192,65:192);
end
if m==3 % structured illumination
P = 1+cos(2*pi/L*X); % grid pattern
G = abs(ifft2(fft2(P).*fft2(psf1)));
I1 = abs(ifft2(fft2(O.*G).*fft2(psf2)));
P = 1+cos(2*pi/L*X+2*pi/3);
G = abs(ifft2(fft2(P).*fft2(psf1)));
I2 = abs(ifft2(fft2(O.*G).*fft2(psf2)));
P = 1+cos(2*pi/L*X+4*pi/3);
G = abs(ifft2(fft2(P).*fft2(psf1)));
I3 = abs(ifft2(fft2(O.*G).*fft2(psf2)));
Ip = sqrt(((I1-I2).^2+(I1-I3).^2+(I2-I3).^2)/2);
if k==1
Imax = max(max(Ip));
end
Ip = Ip/Imax;
imageStack(:,:,18+k) = Ip(65:192,65:192);
end
end
end
figure(1)
imageCell = cell(3,9);
for m = 1:3
for k = 1:9
imageCell(m,k) = {imageStack(:,:,(m-1)*9+k)};
end
end
out = imtile(imageCell,'Frames',1:21,'GridSize',[7 3],'BorderSize',2,
'BackgroundColor','b');
imshow(out)
int = zeros(27,1);
for k = 1:27
int(k) = mean2(imageStack(:,:,k));
end
z = 0:0.5:4;
u = 8*pi/lambda1*z*(1-sqrt(1-Na*Na))/2;
Z = u*v*(1-v/2);
Mask = find(Z); % locate non-zero elements of Z
int_exact = ones(size(Z));
int_exact(mask) = (2*besselj(1,Z(mask))./Z(mask)).^2;
figure(2)
plot(u,int_exact)
xlabel('u')
ylabel('I(u,v)/I(0,v)')
holdon
plot(u,int(1:9))
plot(u,int(10:18))
plot(u,int(19:27))
holdoff
legend('theoretical','conventional','scanning confocal','structured illumination, v=1');
参考文献
1. M.A.A. Neil, R. Juskaitis, and T. Wilson, Method of obtaining optical sectioning by using structured light in a conventional microscope. Optics Letters, 1997. 22(24): p. 1905-1907.
2. M.A.A. Neil, R. Juskaitis, and T. Wilson, Real time 3D fluorescence microscopy by two beam interference illumination. Optics Communications, 1998. 153(1-3): p. 1-4.
3. Available from: https://www.zeiss.com.cn/microscopy/products/imaging-systems/apotome-for-biology.html.
4. D. Karadaglic and T. Wilson, Image formation in structured illumination wide-field fluorescence microscopy. Micron, 2008. 39(7): p. 808-818.

客服经理微信二维码


