
美国当地时间2019年3月20日,美国贸易代表办公室(USTR)做出决定,批准87项针对美国对华301征税340亿清单的产品排除申请。此次排除涉及29个10位美国税号,其中3个10位税号下的产品完全被排除,26个10位税号下的部分产品被排除。

此次排除具有溯及既往的效力,即追溯至2018年7月6日开始生效,已经缴纳的301税金可以要求返还。2019年3月25日,美国政府出版局发布一份由美国贸易代表办公室总法律顾问公告Stephen P. Vaughn(斯蒂芬·沃恩)署名的通知,批准87项针对美国对华301征税340亿清单的产品排除申请。排除的效力将从本决定公告之日起开始计算,为期一年。
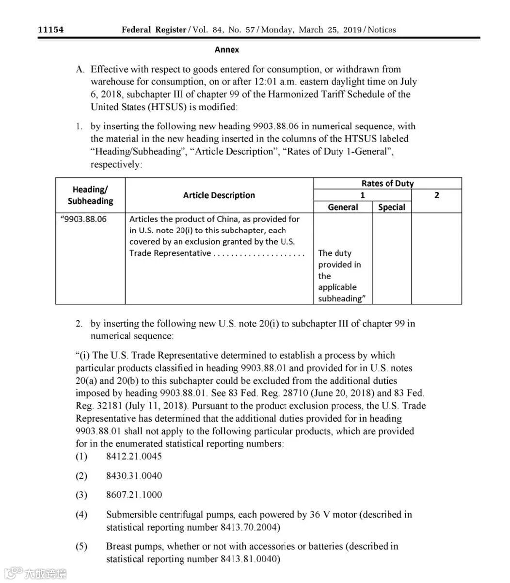
2018年12月21日,美国贸易代表办公室曾发布公告称,计划批准对340亿美元加征清单中自中国进口的984项商品的排除申请,并与当月28日正式批准。这是美国政府发布的第一批排除加征关税商品清单,而此次公布的是第二批。
美方发布301征税340亿美元第二批产品排除目录
美方发布301征税340亿清单第二批产品排除目录 |
||
全部排除税号 |
||
美国税号 |
具体排除产品(英文版) |
具体排除产品(中文参考版) |
8412.21.0045 |
||
8430.31.0040 |
||
8607.21.1000 |
||
部分排除税号 |
||
美国税号 |
具体排除产品(英文版) |
具体排除产品(中文参考版) |
8413.70.2004 |
Submersible centrifugal pumps,each powered by 36 v motor |
潜水离心泵,毎台由36V电机供电 |
8413.81.0040 |
Breast pumps, whether or not with accessories or batteries |
吸乳器,不论是否带有配件或电池 |
8413.91.9095 |
Impellers of plastic designed for centrifugal pumps,each of the foregoing with outside dianeter of 73 mm or more but not more than 74 mm. |
铸铁叶轮外壳;为离心泵设计的塑料叶轮,上述每根外径为73毫米或以上但不超过74臺米 |
8413.91.9080 |
||
8414.90.4165 |
Compressor housings designed for turbochargers |
为涡轮增压器设计的压縮机壳体 |
8421.19.0000 |
Salad spinners,of plastics,not electrically powered |
塑料沙拉旋转器,非电动 |
8421.21.0000 |
Machinery for filtering water,submersible,powered by batteries,manually operated,such machinery designed for use in pools, basins, aquariums,spas or similar contained bodies of water;Machinery designed for removing waste from water in saltwater aquariums by injecting air bubbles then filtering such bubbles;Electronic water oxidizers designed for purifying water for household washing machines;Hand-held ultraviolet water;purifiers,powered by batteries。 |
过滤水,潜水器,电池供电,手动操作的机器,设计用于游泳池,水池水族馆,水疗池或类似水体;设计用于通过注入气泡然后过滤这些气泡来清除海水水族箱中的废水的机器;用于净化家用洗衣机水的电子水氧化器;由电池供电的手持式紫外线净水器 |
8421.22.0000 |
Filters designed to remove sulfites from win |
用于去除葡萄酒中亚硫酸盐的过滤器 |
8421.99.0040 |
Filter housings,covers,or couplings,the foregoing of steel and comprising parts of machinery or apparatus for filtering liquids |
过滤器外壳,盖子或联轴器,上述钢材,包括用于过滤液体的机器或设备部件 |
8428.32.0000 |
Steel L-shaped bucket elevator,each comprising steel buckets bolted to a steel chain with guide wires and drive system |
钢制L形斗式提升机,每个都包括用栓固定在钢上的钢制支架,带有导丝和驱动系统 |
8431.49.9095 |
Vulcanized rubber tracks. each incorporating cords and cleats of steel,designed for use on construction equipment |
硫化橡胺履带,每根都包合钢丝绳和夹板,设计用于建筑设备 |
8439.91.9000 |
Rotors designed to agitate paper and water into pulp,of stainless steel, the foregoing comprising parts of machinery for making pulp of fibrous cellulosic materials |
设计用于将纸和水搅拌成不锈钢纸浆的转子,前述包括用于制造纤维状纤维素材料纸浆的机器部件 |
8471.70.6000 |
Automated data processing storage units (other than magnetic disk drive units), not assembled in cabinets for placing on a table or similar place, not presented with any other unit of a system |
自动数据处理存储单元(磁盘驱动器单元除外),未组装在机柜中放置在桌子或类似场所,未与系统的任何其他单元一起提供 |
8479.10.0060 |
Bituminous pavers, self-propelled, each with a weight exceeding 14.9 metric tons but not exceeding 18.2 metric tons,with working width of 2.4m or more but not over 8.6m |
自行式沥青摊铺机,每个摊铺机的重量超过14.9公吨但不超过18.2公吨,工作宽度为2.4米或以上但不超过8.6米 |
8481.30.9000 |
Check valves,of acrylonitrile butadiene styrene(ABS), each weighing 120 g or lesss,Check valves, of plastics |
丙烯腈-丁二烯-乙烯(ABS)止回阀,每个重120克或以下,塑料止回阀 |
8501.10.4020 |
Electric motors,AC, permanent split capacitor type, each in a housing with outside diameter of 84 mm or less, with output of 6W or more but not exceeding 16w |
电动机,交流电,永久分高电容器型,每个都在外径为84毫米或以下的外売中,输出功率为6瓦或以上但不超过16瓦 |
8501.31.5000 |
DC motors rated at 739.6 W, each with a housing with external diameter of 85 mm or more but not exceeding 90 mm and weight of 257 g or less |
额定功率为739.6W的直流电机,每个外壳的外径为85mm或以上但不超过90mm,重量力257g或以下 |
8504.32.0000 |
Electrical transformers,each with a power handling capacity rating of 1.8KVA,with external dimensions measuring approximately 13.3 cm by 12.7 cm by 11.4 cm |
电力変压器,每个的功率处理能力等级为1.8千伏安,外部尺寸约为13.3厘米×12.7厘米×11.4厘米 |
8515. 11.0000 |
Battery powered soldering irons or soldering guns,not over 18 cm in length |
电池供电的烙铁或焊枪,长度不超过18厘米 |
8538.90.6000 |
Knos of injection molded plastics |
注塑塑料旋钮 |
8539.90.0000 |
Molybdenum foil filament assemblies,designed for use in ultraviolet lamps |
设计用于紫外线灯的钼箔灯丝组件 |
9013. 80.7000 |
Thinfilm-transistor, light emitting diode(LED)backlit flat panel liquid crystal display modules, each with an aluminum bezel and a video display diagonal measuring 113 mm or more but not over 339 mm |
薄膜晶体管,发光二极管(LED)背光平板液晶显示模块,每个都带有铝质边框和113毫米或以上但不超过339毫米的视频显示对角线 |
9014.80.2000 |
Depth-sounding apparatus with digital display,each designed{ for installation in a 63.5mm hole in dashboard, designed for recreational boating use |
具有数字显示功能的深度测量设备,每个设计用于安装在仪表板的63.5mm 孔中,设计用于休闲划船用途 |
9018.90. 7580 |
Restraint packs designed for use with chest compressors, each containing one torso restraint,consisting of a cotton strap which fastens with hook and loop fasteners to the compressor,and one cover for a head stabilizer |
设计用于胸部压缩机的约束包,每个包合一个躯干约束装置,包括一个用钩环紧固件固定在压缩机上的棉带和一个用于头部稳定器的盖子 |
9027.90 5650 |
Inoculator sets of plastics, each consisting of a plate with multiple wells,a display tray,and a lid;when assembled, the set measuring 105 mm or more but not exceeding 108 mm in width 138 mm or more but not exceeding 140 mm in depth, and 6.5 mm or less in thickness |
接种器塑料组,每个塑料组有多个孔的板,一个展示托盘和一个盖子组成;组装时,该组件的宽度为105毫米或以上但不超过108毫米,深度为138毫米或以上但不超过140毫米,厚度为6.5毫米或以下 |
9031.80.8085 |
Tuners designed to clip onto musical instruments and indicate whether the instrument is in tune |
调音器设计用于夹在乐器上并指示乐器是否合格 |
美国对华500亿美元产品征税清单--340亿美元加税25%的产品(7月6日生效部分)于2018年12月28日针对这部分产品公布第一批豁免清单(此次完全排除:涉及7个美国10位税则号。部分排除:涉及14个美国10位税则号)
美方发布301征税340亿美元第一、二批排除产品可在下面美国关税查询网站验证税号税费情况。
美国关税查询地址:
https://hts.usitc.gov/
3月25日美方发布340亿清单第二批产品排除公告原文地址:
https://www.govinfo.gov/content/pkg/FR-2019-03-25/pdf/2019-05588.pdf
具体公告如下







塑料全产业链技术整体解决方案提供商
特色服务

撮合、委托交易
融合云计算、大数据、移动商务技术,具备系统自动撮合匹配、支持人工撮合匹配、双向委托、灵活的规则设定、电子合同、在线支付、增值中心等特性。使供需交易、企业互联智能化、集聚化,促进塑料产业链基层便捷高效地运作。
欢迎联系我们
报关代理
交易安全 全塑联全程为您的订单跟踪报关状态,确保报关成功
绿色快捷 平台与海关部门、商检部门保持密切顺畅沟通,为订单提供大量数据,提高通关效率。
物流仓储 报关前后运输、物流、仓储等,全方位一站式服务
优质专业服务 专业的服务团队,拥有丰富塑料报关经验
报关业务请询

境外考察(节选)
国外朋友请询
Foreign friends please contact the following customer service

办会宣讲(节选)

全塑联
About Me
以“政产学研用金”为核心路径,创建“塑料全产业链+互联网+技术研发+人才培育+供应链金融”为一体的高科技服务平台。请扫一扫关注我~
来源:海运网
更多行情资讯,请点击“阅读原文”前往全塑联官网


