二维金属材料
近日中国科学院物理研究所张广宇、杜罗军团队通过范德华挤压技术成功制备出原子级厚度的二维金属材料(如铋、锡、铅等),实现了非层状金属在量子限域下的稳定存在【1】。科研人员观察到了新的声子模式、强烈增强的电导率、具有p型行为的显著场效应和大的非线性霍尔电导率。实验证明单层铋材料展现出9.0×10⁶S/m 的室温电导率,较块体材料提升一个数量级,并观测到巨非线性霍尔响应(σ²ω≈0.22μm V⁻¹Ω⁻¹),为量子器件、柔性电子等领域开辟了新方向。
经典二维材料以其原子级厚度、独特的电学/机械性能和多样的结构,成为纳米技术领域的基础材料,和二维金属材料相比在结构、电学行为和稳定性方面有较大不同。
|
特性 |
经典二维材料(如石墨烯、MoS₂) |
二维金属材料(如单层铋) |
|
结构 |
层状,范德华堆叠 |
非层状,依赖外部封装稳定 |
|
电学行为 |
半导体 / 绝缘体 / 半金属 |
金属性, 高电导率(如Bi达9×10⁶S/m) |
|
稳定性 |
空气稳定(h-BN、石墨烯) |
需封装(如MoS₂包裹) |
|
典型应用 |
晶体管、传感器 |
量子器件、高频元件 |
正因为二维金属材料展现的特性,使得量子器件及其机理有可能产生新的突破,基于单层铋的平带特性与强关联效应,其巨非线性霍尔响应为量子计算中的 Berry 曲率调控提供了理想平台。并且二维金属的高电导率(9.0×10⁶S/m)与低功耗调控特性,使其成为超薄互联或高频晶体管沟通的核心材料。
二维材料电学测试和表征及主要测试设备主要包括:
• 四探针法测试方块电阻:6517或4200A
• TLM测试接触电阻率、载流子迁移率:DAQ 7510或者SMU
• Hall Bar测试:6221/2182A
• 开关比、阈值电压、功耗等通用半导体参数测试:4200A
Hall测试是研究二维材料电输运的重要测试手段,通过将材料设计成Hall Bar的结构,在外加磁场下,在不同温度下对Hall电阻进行高精度的测量。由于二维材料有着非常奇异的特性,诸如量子Hall效应、量子反常Hall效应、自旋Hall效应、非线性Hall效应(NLHE)等测试,逐渐揭示了时间反演和对称性破缺下二维材料与三维体材料等巨大差异,为光电探测、量子测量、新型计算等开辟新的途径。
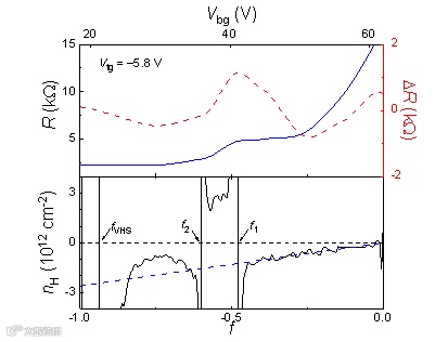
上图【2】为典型的Hall Bar结构,用于测量Hall电阻,并通过nH=-(1/e)(dRxy/dB)-1推推导载流子密度,该函数nH是底栅的函数,因此在测试中需要对底栅bg增加一个可控的Vbias。
上如图为T=1.5K时,nH在Vbg=62V和18.5V时改变符号,对应着f=0和f=-1价全满的状态【3】。
试用申请
扫码立即免费预约泰克相关产品试用,我们会立刻与您联系!
二维材料中Hall测试的挑战
■ 1. 特殊的测试条件: 一般条件下,被测样品被放置在低温(通常是超导)及磁场环境中,其低温最低可达0.1mK,磁场可高达16T。在极端条件下,磁场可达几十特斯拉脉冲强磁场,压力可达数GPa。PPMS可以提供一般条件下的测试环境,在此环境下,测试电缆连线需考虑热效应及对测试结果的误差因素。
■ 2. 需要极小或极大电阻的测试: 在超导条件下,被测样品电阻可能低至nΩ级。而极端情况下,被测样品电阻可能高达GΩ级,通常的阻抗测试方法远远达不到要求。
■ 3. 需要测试极小电压、电流及微分电导: 此时信号往往淹没在噪声中,需要特殊的测试手法抑制噪声,提取有效信号分量。
为应对电输运测试面临的挑战,必须添加高精度适合极低电平测试的仪器体为必要的补充,该仪器必须具备去除噪声的自力。以锁相放大器为代表的的AC法和以Keithley 622x低电平电流源/2182A纳伏计组合为代表的Delta模式是两种主要的应对挑战的方法,两种方法的框图如下:
图:AC法和Delta法测试原理
6221/2182A组合的Delta模式可以提供准直流电流反向技术的测量和计算,以消除温差电动势的影响,每个Delta读数都是根据一个通道的两个电压测量结果计算而来;一个测量电流源的正相,一个测量负相,从而使噪声降低1000倍。
AC法和 Delta 模式法各有优势,相辅相成,一般在电输运测试时都配置。下图示意出两者应用范围:
从上两图可以看出,锁放可在更高频率应用,比如脉冲测试,但锁放较适合 100mΩ~1MΩ范围的测试,而Delta 模式可测试更低电平的信号,也更适合低于100mΩ及大于1MΩ的电阻测试。
根据Hall Bar的结构,测试组网需要一下信号的激励与采集:
■ SD方向的电流注入
■ Vxx方向的电压采集,用于测试材料本体的电导率σxx
■ Vxy方向电压采集,用于测试材料霍尔电阻σxy
通常情况下,Vxx和Vxy需要同时测量,特别是在一些拓扑绝缘体和自旋材料的研究中,需要观测到在磁场下或自身磁性影响下能带劈裂后呈现量子化的霍尔电阻和相对应的体电阻的变化,用于判定材料是否满足拓扑绝缘体的性质【4】。
一台2182A配备两个电压采集通道,可以同时采集Vxx和Vxy,配合6221产生的高精度电流,可以方便、准确的完成Hall测试。
除了低电平测试仪器,通常电输运测试还要配置SMU作为直流激励源。特殊情况下还需要AFG作为交流激励源,采集卡或示波器用于采集锁放输出信号。高频输运特性的研究是电输运特性测试的发展方向,研究高频输运特性时,需配置带宽达GHz的任意波形发生器。
方案优势
100fA~100mA电流输出,1nV电压测试灵敏度,高达10nΩ电阻测量灵敏度
泰克独有的TSP LINK连接6221/2182A,自动完成 Delta模式测试
Delta模式可降低噪声1000倍
多型号高精度SMU供激励源选择
领先的AWG为高频输运特性研究提供强力支持
电输运测试领域普遍采用
引用
【1】Doi.org/10.1038/s41586-025-08711-x
【2】Doi.org/10.1007/s11432-024-4033-8
【3】Doi.org/10.1093/nsr/nwac232
【4】DOI: 10.1103/PhysRevX.14.021051
点击阅读原文,了解更多!
欲知更多产品和应用详情,您还可以通过如下方式联系我们:
邮箱:china.mktg@tektronix.com
网址:tek.com.cn
电话:400-820-5835(周一至周五9:00-17:00)
将您的灵感变为现实
我们提供专业的测量洞见信息,旨在帮助您提高绩效以及将各种可能性转化为现实。
泰克设计和制造能够帮助您测试和测量各种解决方案,从而突破复杂性的层层壁垒,加快您的全局创新步伐。我们携手共进,一定能够帮助各级工程师更方便、更快速、更准确地创造和实现技术进步。
扫码添加“泰克工程师小助手”
立享1对1专属服务!
点击“阅读原文”了解更多!

