点击蓝字
关注我们
01
您了解无功补偿吗?
在说无功补偿之前,我们有必要提一下电价,这可是跟无功补偿有着密不可分的关系。
对大多数的工商业用户来说,电价的组成中,有一项电费是力调费。
什么力调费呢?其实就是根据用户的功率因数来确定的奖励或者惩罚性电费。
某地无功罚款标准
就是说系统中无功太多了,供电部门要对用户罚款,按照上面表格来看,功率因数越低,无功罚款的比例就越高,用户想要避免这部分的罚款就需要用到无功补偿产品了。
那么,到底什么是无功补偿产品呢?这次我们就来浅谈一下,什么是无功补偿的基础概念。
1
无功补偿的基础概念
无功补偿是什么?
无功补偿 ,全称无功功率补偿,是一种在电力供电系统中起提高电网的功率因数的作用,降低供电变压器及输送线路的损耗,提高供电效率,改善供电环境的技术。
而什么又是功率因数呢?
功率因数是指交流电路有功功率对视在功率的比值。用户电器设备在一定电压和功率下,该值越高效益越好,发电设备越能充分利用。
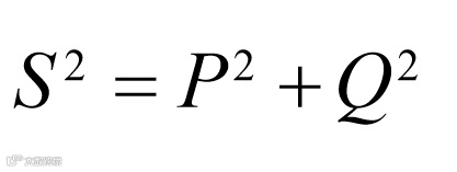
谈到这里,让我们来看看,视在功率、有功功率、无功功率之间有什么关系呢?
视在功率(S)等于有功功率(P)和无功功率(Q)之矢量和
视在功率S的单位是KVA,有功功率P的单位是KW,无功功率Q的单位是Kvar。
那么,举个例子。
我们拿一杯啤酒来理解就很好明白了,一瓶倒满的啤酒就像视在功率,人们要喝的是下层的啤酒液体,就像是有功功率,而上层的啤酒泡沫就像是无功功率,泡沫越少,啤酒液体就越多。
所以,视在功率是一定的,那么一旦输出了越多的无功功率,有功功率就减少得越多了。
所以,为了提高电网的功率因数,就需要对系统进行无功补偿。
补偿前
假设,系统中的设备是一台印刷机,印刷机内部有大量的电动机,电动机是感性负载,为了产生电磁转矩,必须消耗无功功率产生感性无功。
因此,在未进行无功补偿时,由于产生了感性无功,所以功率因数低下。
那么,怎么处理这种问题呢?
我们可以在印刷机工作后,投入电容器,来向系统补偿容性无功,就可以提高系统的功率因数。
补偿后
在通过电容器对系统进行补偿后,减少了电网对无功的输出,提高了功率因数。从而可以规避供电部门对用户的无功罚款,甚至还可以获得电费奖励。
2
选择什么样产品进行补偿?
市场上常见的低压无功补偿方案一般是系统中并联电容器+串联电抗器,这样的方案,不仅可以抑制谐波电流,很大程度上提高了电网的运行安全性能。
接下来,给大家简单介绍下昂顿科技的电容器、电抗器产品。
昂顿科技的CA电容器是一种低压自愈式电容器,采用干式技术,可广泛应用于低压输配电场合。
产品采取轻质铝罐设计,罐内集成了三相相互独立的单元,每个单元内采用金属化聚丙烯薄膜为电介质,并采用特殊的镀层工艺,提高了电容器的自愈能力及过流能力。
三相独立的电容芯在严格的环境中绕制而成,并经过长时间的干燥工艺去除潮气,保证了电容器各项参数的稳定性。
EDT-CA 电容器
由电路原理我们知道,电容器在投入瞬间理论上相当于短路,当电网电压不过零时投入电容器会有很大的合闸涌流,对电网和开关器件冲击很大。
为了避免这种情况,常规情况下就会考虑串联电抗器,这样可以有效降低涌流,更好地保护电容器等产品,另外,串联电抗器还具有抑制一定频率谐波的功能。
昂顿科技RE电抗器产品性能卓越,质量可靠。该产品为纯干式结构,采用优质硅钢片、优质耐高温漆包导线绕制,由环氧树脂浇注而成。具有过载能力强、损耗小、温升低、噪音小等特点。
EDT-RE 电抗器
了解更多产品信息,可联系昂顿科技售前支持部
EnergieDaten
享受能源使用的每一刻
微信公众号|昂顿科技

