大数跨境
0
0

工信部新一批公布!这些车型免征购置税→

工信部新一批公布!这些车型免征购置税→ 储能知家
2024-02-05
0
导读:更多新闻资讯请关注中工汽车网。

据中工汽车网获悉,2月4日,根据《财政部 税务总局 工业和信息化部关于延续和优化新能源汽车车辆购置税减免政策的公告》(2023年第10号)、《工业和信息化部 财政部 税务总局关于调整减免车辆购置税新能源汽车产品技术要求的公告》(2023年第32号)等有关规定。

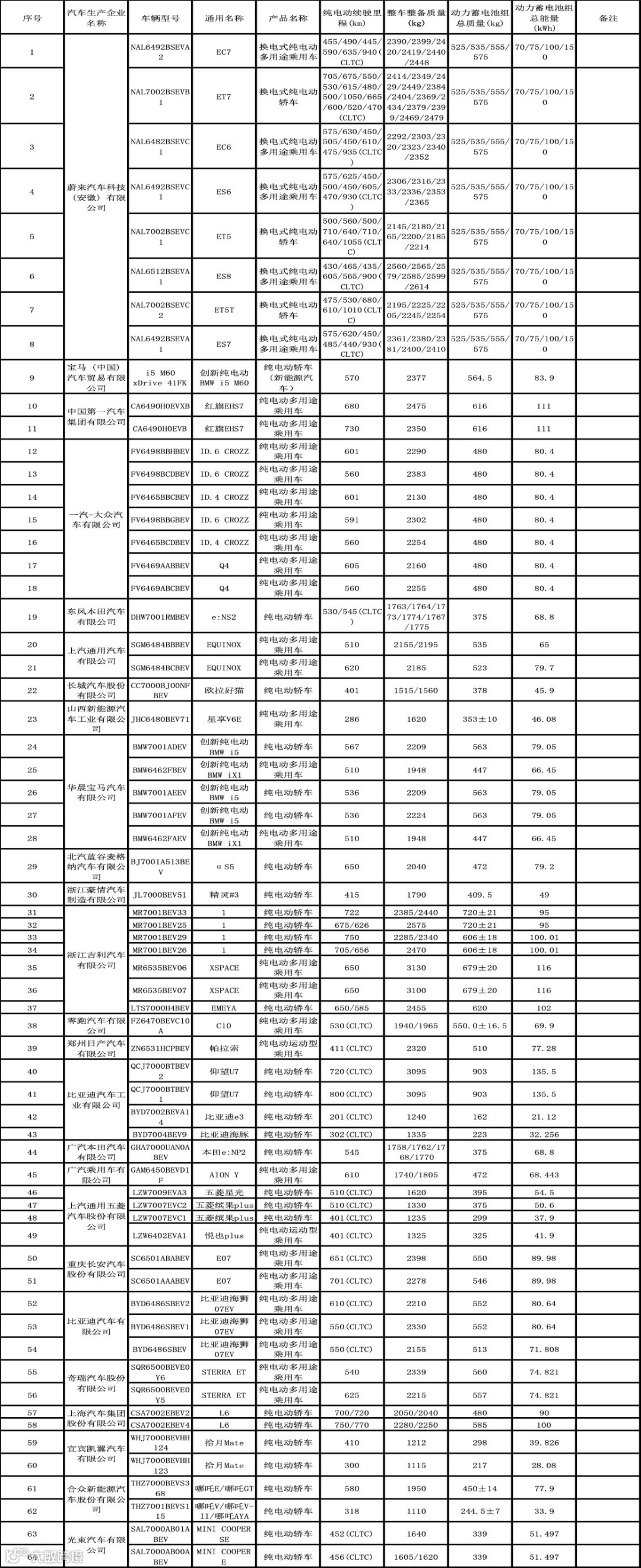
工信部发布《道路机动车辆生产企业及产品》(第379批)、《享受车船税减免优惠的节约能源 使用新能源汽车车型目录》(第五十八批)、《减免车辆购置税的新能源汽车车型目录》(第二批),包括仰望U7、纯电动MINI、比亚迪秦L和深蓝G318等均在列。
#01

新能源:政策推动

2023年,是行业新旧势力变革的元年。旧秩序正在坍塌,新秩序正在重建。新能源汽车的迅速崛起,正在加速燃油车的离去。
纯电动车型方面,此次目录中蔚来全系2024款车型均在列,新车全系车型将都提供70/75/100/150kWh电池组。其中,续航里程最大的新款蔚来ET5续航里程将达到1055km。此外,还有仰望U7、海狮07 EV、宝骏悦也PLUS以及纯电动MINI等等。

插电混动/增程车型方面,新款理想L7、L8、L9将增加50kWh电池,纯电续航里程分别提升至224km、221km和220km,而理想L6则提供两种电池,纯电续航分别为172km和178km。比亚迪秦L纯电续航分别为60km和90km;深蓝G318续航分别为77/138/142/146km;捷途旅行者C-DM的纯电续航为100km。

燃油车方面,均为一汽-大众旗下车型,包括宝来、速腾、高尔夫(全景看车)和T-ROC探歌。

2024年1月,国务院新闻办公室举办税收服务质量发展、解读宏观经济形势和政策两场新闻发布会。
会上,国家税务总局纳税服务司司长沈新国表示,“2023年,税务部门积极推进绿色税制体系建设和政策落实。其中,对新能源汽车免征车辆购置税、车船税1218亿元。
在沈新国看来,“多政策组合”的优惠政策体系助力绿色发展。税务部门高效落实企业所得税、增值税、车辆购置税相关绿色税收优惠政策,激励企业走绿色高质量发展道路,促进汽车行业降碳减排。
#02

购置税:减免助力
2014年,中国首次实行免征新能源汽车购置税政策,并于当年9月1日开始执行,持续到2017年底。该年上半年,新能源汽车销量2.04万辆,到了下半年这个数字直接变成5.42万辆。翻倍增长的“真金白银”让车企们信心大增。
2017年,由于市场反响强烈,该政策延续至2020年末。
2020年,为进一步促进汽车消费,新能源汽车免征购置税政策再次被延长两年至2023年年底。
2023年,为支持新能源汽车产业发展,促进汽车消费,6月21日,财政部等三部门发布关于延续和优化新能源汽车车辆购置税减免政策的公告。将新能源汽车车辆购置税减免政策,从执行到2023年12月31日延长至2027年12月31日,延长4年。
值得注意的是,2024年1月1日至2025年12月31日免征车辆购置税,也就是前两年继续免征,每辆新能源乘用车免税额不超过3万元;2026年1月1日至2027年12月31日减半征收车辆购置税,后两年减半征收,每辆新能源乘用车减税额不超过1.5万元。

价格区间方面,享受免征政策的新能源汽车中,10万至20万元(含)车型占比达48.5%,较2022年同期提高14.2个百分点;20万至50万元(含)车型占比为31.3%,较2022年同期提高6.1个百分点,呈现较为明显的消费升级趋势。
购买对象方面,居民购买的新能源汽车数量同比增长15.5%,占全部新能源汽车销量的比重为82.7%;企业购买的新能源汽车数量同比增长28.7%,占比为17.3%。其中,汽车租赁、出租车客运和公共客运等行业购进新能源汽车数量居前,特别是汽车租赁、出租车客运购车数量同比分别增长68.1%、10.9%,公共领域用车电动化步伐加快。

扫码加入群聊

汽车材料、技术、资讯

备注公司、职位、姓名

各有关单位:

      为贯彻落实《中华人民共和国标准化法》、国务院《深化标准化改革方案》、国家标准化管理委员会和民政部发布的《团体标准管理规定》(国标委联【2019】1号)等文件精神,加强行业标准体系建设,提升团体标准对市场发展的技术支撑和基础保障水平。废旧锂电池是宝贵的“城市矿山”,退役动力电池绿色再生和梯次利用是保障报废动力电池材料高效回收与循环利用的重要基础。由中国电子节能技术协会电池回收利用专业委员会组织的《废旧锂离子电池三元材料再生利用技术规范》、《废旧锂离子电池再生 粗制硫酸钴晶体》等多项团体标准,现面向相关行业征集标准起草单位。
      为保障标准的广泛代表性,科学性和实用性,现公开征集相关生产企业、科研单位、应用技术单位共同参与起草。

中电能协电池回收利用委员会

联系人:王鹏  张鑫

电话:131-6170-8708(同微信) 

电话:131-2690-4348(同微信) 

邮箱dchslm2019@126.com

网址:www.dchsxh.com

--End--  
欢迎分享给您的朋友!
出品 | 汽车产业委员会(www.cnevi.com
责编丨韩梅梅

10万+人  在看  我哦!

往期回顾


【延期】关于延期召开2023报废机动车回收拆解与资源循环利用产业发展大会的通知


2023全球汽车销量TOP10,国产仅1!


2023年,新能源汽车“销量”榜单公布!


1月,新能源汽车“销量”榜单公布!

来源:中工汽车网
【免责声明】文章为作者独立观点,不代表中工汽车网立场,仅用于学习交流。如因作品内容、版权等存在问题,请于本文刊发30日内联系中工汽车网进行删除。

【声明】内容源于网络
0
0
储能知家
聚焦储能市场、技术、资讯,新型储能、新型电力、数字与绿色能源、零碳技术与市场。
内容 5014
粉丝 0
储能知家 聚焦储能市场、技术、资讯,新型储能、新型电力、数字与绿色能源、零碳技术与市场。
总阅读1.4k
粉丝0
内容5.0k