
点击箭头处“蓝色字”,关注我们哦!!
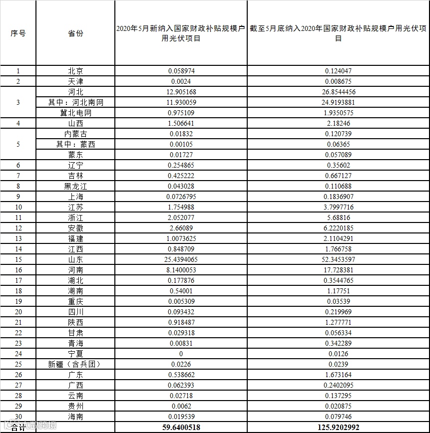
刚刚,国家能源局官网发布的最新消息:截止到2020年5月,全国新增户用光伏装机596.4MW;1~5月,我国户用光伏累计装机达到 1259.2 MW。
装机超过1GW,户用光伏发展势头迅猛!


按照《国家能源局关于2020年风电、光伏发电项目建设有关事项的通知》(国能发新能〔2020〕17号)和《国家能源局综合司关于2019年户用光伏项目信息公布和报送有关事项的通知》(国能综通新能〔2019〕45号)关于户用光伏项目管理有关要求,全国共有30个省份报送了户用光伏项目信息(西藏无纳入2020年财政补贴规模户用光伏项目,未报送)。
根据各省级能源主管部门、电网企业报送信息,经国家可再生能源信息管理中心梳理统计,2020年5月新纳入国家财政补贴规模户用光伏项目总装机容量为59.64万千瓦。截至2020年5月底,全国累计纳入2020年国家财政补贴规模户用光伏项目装机容量为125.92万千瓦。详细情况见附表。
附表:纳入2020年国家财政补贴规模户用光伏项目装机容量统计表(截至2020年5月31日) 单位:万千瓦

*1、江苏、江西、陕西、河南、重庆、广西、云南、贵州根据实际情况对4月底前建成并网户用光伏项目进行了修正,具体项目信息见各省公布情况。
*2、西藏无纳入2020年财政补贴规模户用光伏项目,未报送。
-----------------------------------------------------------------------
在国家相关部委的支持下,户用及工商业光伏目前发展势头火爆。2020年户用装机有望超过7GW。
长按二维码
关注我们

