
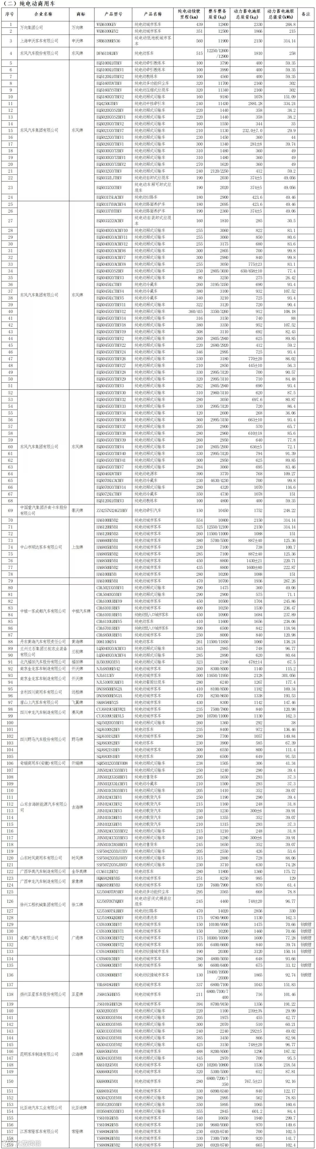
工业和信息化部、国家税务总局日前发布第七批《享受车船税减免优惠的节约能源 使用新能源汽车车型目录》。本批次《目录》包括425款车型,其中节能型汽车51款(可享受车船税减半政策),新能源汽车374款(可享受车船税免征政策)。
工业和信息化部
国家税务总局
公 告
2019 第9号
根据《财政部 税务总局 工业和信息化部 交通运输部关于节能 新能源车船享受车船税优惠政策的通知》(财税〔2018〕74号)要求,工业和信息化部会同国家税务总局对企业提交的申请材料进行了审查。现将《享受车船税减免优惠的节约能源使用新能源汽车车型目录》(第七批)予以公告。
附件:享受车船税减免优惠的节约能源 使用新能源汽车车型目录(第七批)
工业和信息化部
国家税务总局
2019年3月6日








来源:工业和信息化部装备工业司

中国电池工业协会于2019年3月20日~22日在南京举办“2019年全国高性能电池新技术与新材料应用发展暨电池行业智能制造技术交流会”。本次会议将围绕高性能电池新技术与新材料应用发展,以“新产品、新材料、新技术”为主题,组织我国电池行业相关生产企业、新能源汽车及其他电池应用企业、科研部门、大专院校齐聚南京助力产业发展。本次会议将是我国电池行业的一次盛会,诚邀您的莅临!
参会联系人:李静 13693174200


