标准品
在 xMAP® 的平台上进行定量实验时,需要提前准备好不同浓度的标准品,再根据实验测定所获取的荧光数值,绘制出标准线。
选用标准品时需要注意以下事项[1]:
浓度范围
为使建立的标准曲线能够有效覆盖实验样本的浓度,在设置标准品浓度范围时最好可以有比较大的跨度,确保未知样品的浓度可以落在标准品上下限浓度之间。
数量
标准品的数量至少应有三个浓度,每个标准点至少重复两次。增加标准品数据点数量,可以使标准线更具代表性。
组分
标准品的组分尽量与被测样品组分一致,使用相同的缓冲液进行稀释。

拟合公式
曲线拟合的目的是要找寻最合适的公式与参数,以匹配获取的数据,绘制出一条平滑的曲线,尽可能通过每一个数据点。
标准曲线的拟合方式甚多,包括线性回归及非线性回归,不同的实验数据适合的拟合方式各不相同,其中常见的拟合方式有四参数和五参数非线性回归法。使用至少六个不同浓度的标准品时,无论以何种拟合公式,均可得到较准确的计算结果[2]。
线性回归
线性回归是最简单,也是最基本的曲线回归法,将所有的数据点拟合为一直线,其拟合方程式为:y= ax+b。
线性回归需要最少三个浓度的标准品数据,越多标准品数据点可增加拟合的准确性,线性回归的优点是公式计算简单,缺点则是大多数标准品的数据,呈现的是 "S" 型非线性关系,所以并不符合实验应用状况(如下图所示)。

相同的数据点,不同公式拟合效果不同
非线性回归
非线性拟合的方式包括 cubic spline、四参数拟合 (4PL)、五参数拟合(5PL) 等,其中四参数拟合与五参数拟合是最常见的,这两种非线性曲线拟合均适用于 "S" 型曲线的回归分析,建议使用六个以上的数据点以获取更准确的拟合公式。
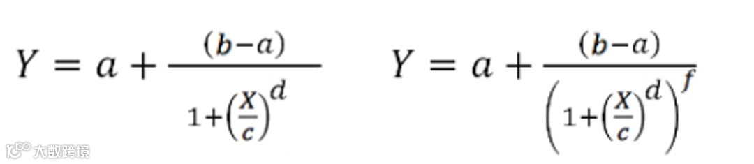
四参数拟合曲线 (4PL)
四参数拟合为含有四个参数的方程式,是一个对称的曲线,假设曲线的两侧以中心拐点完全对称。
五参数拟合(5PL)
多数生物实验的数据不是四参数拟合的完全对称,而五参数拟合考虑了不对称的情况,通常更适合免疫分析使用。与四参数拟合公式相比,因为多加入了一个新的参数,可以更好的贴合实际数据。

左:四参数拟合公式;右:五参数拟合公式

标准曲线有效期?
“喏~~做出一条 0.999 的标准曲线,是不是就可以每次只上样本,都拿它来计算未知样本浓度?行不行呢?数据准确不准确呢?”
在实验过程中,每次操作时的条件都可能发生变化(标准品、操作人员、仪器等),当标准品与未知样本于相同条件状态下一起操作时,绘制出的标准线,才最能准确反应出实际检测状态及检测结果。
在 xPONENT 软件中提前设置定量检测实验,当数据读取完成后,软件即可马上根据标准品获取的荧光值,绘制出标准曲线,同时根据未知样本获取的荧光值计算浓度。

总结
参考文献
[1] 国家标准《基于标准样品的线性校准》GB/T 22554-2010
[2] Motulsky, Fitting models to biological data using linear and nonlinear regression: a practical guide to curve fitting, 2004
下载 Cookbook
了解更多关于 xMAP® 的实验策略及优化!

想要了解更多Luminex产品信息
欢迎联系我们
路明克斯贸易(上海)有限公司
Luminex Trading (Shanghai) Company Limited
地址:上海市闵行区陈行路2388号7幢14C及14D室
邮编:201114
电话:+86.21.8036.9888
传真:+86.21.8036.9899
E-mail: infocn@luminexcorp.com
www.luminexcorp.com
技术支持热线:400 996 2655
©2021 Luminex Corporation. All rights reserved. Luminex and xMAP are trademarks of Luminex Corporation, registered in the U.S. and other countries.


