磁珠 vs 非磁珠(流式仪器)
《 表格情景 ➀ vs ➁ 》
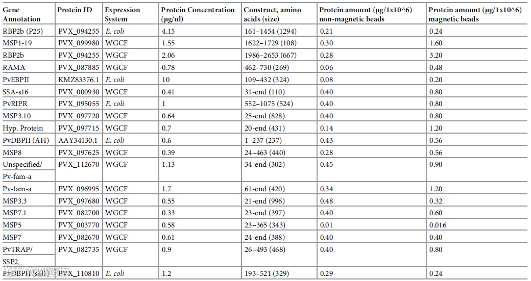
Luminex 最早的 xMAP 微球是不具磁性的塑料珠,虽可通过离心及抽吸的方式进行溶液置换及清洗,但是操作不易且损耗较大,因此在推出磁珠之后,现已较少于实验中应用,然其具备价格优势,因此仍然有部分使用流式原理仪器的实验室,选用塑料微球进行实验。
这两种微球除了磁性之外,最明显的差别就是粒径大小,那么相同的探针于两种微球上偶联后的检测效果是否有差别呢?
在 Ramin Mazhari 等人发表的文章中 [5] ,他们以间日疟原虫为研究主题,将间日疟原虫的蛋白抗原分别偶联于 MagPlex 及 MicroPlex 微球上,并使用 Luminex 200 仪器,测定疟疾流行区收集的血清样本中,相应 IgG 抗体的表达量。

磁珠微球与塑料微球的实验结果一致性良好 [5]
依据靶标及微球种类对偶联的抗原量进行优化 [5]
流式仪器 vs 影像仪器(磁珠)
各式不同的研究主题如:人 [1] 或是家禽 [3] 施打疫苗后抗体表现量评估、食物中环境污染物浓度评估 [4] 、细胞因子表现量检测 [2,8]、疟疾 [5] 及新冠 [6] IgG 抗体流行病学评估等, 为能最大化其应用场景,均对流式及影像实验仪器进行结果一致性验证。数据显示无论是对比原始荧光值,或是经标准曲线换算后的浓度,结果一致性均非常好。
-
新冠抗体检测 [6] :
使用 Luminex AbC 试剂盒,将新冠病毒棘蛋白 RBD 区域偶联上磁珠,再以 PE 标记的抗人抗体侦测样本中特异性新冠 IgG 抗体;对比在两种仪器上获取的 MFI 荧光值一致性高。

平台间检测的原始荧光值(MFI)一致性良好 [6]
细胞因子检测 [7] :
使用细胞因子检测试剂盒,验证两种仪器上运行标准品及样品的实验结果。数据显示平均斜率达 0.997,相关系数达 0.991,证明在两种仪器上获取的数据具可比性。

荧光值换算浓度后的实验结果一致性良好 [7]
核酸检测 [2] :
为了比较从两种仪器获取的核酸分析数据,使用定制的互补寡核苷酸,以倍比稀释建立标准曲线 ;俩者检测结果一致,均显示出批内差异变化小,批间差异亦相近,灵敏度都达到 0.1 fmol [2]。
此外,在 Luminex 推出的多个核酸商品试剂盒(包括呼吸道病毒检测、肠道病原检测、细胞色素代谢酶基因分型等)的标准品及样本的测试结果,同样确认数据间的一致性,验证了平台间具可比性 [9]。
平台间数据相关性良好 [2]
塑料珠+流式仪器 vs 磁珠+影像仪器
《 表格情景 ➀ vs ➂ 》
你是否也好奇,如果将塑料珠在流式原理仪器上获取的数据与磁珠在影像原理仪器上获取的数据相比又是如何呢?
在 Ramin Mazhari 等人以疟疾抗体研究主题的文章中 [5] ,他们就对这样的情况进行比较。结果显示两者之间同样具有中高强度的相关性,且与第一种比较情景(磁珠 vs 塑料珠)结果相似,前面一致性偏低的靶标 PVX_003770 (MSP5),在这种比较情景下依然见到相关性低的情况。

相关性与磁珠及非磁珠的对比相似 [2]
INTELLIFLEX
最新款的 INTELLIFLEX 具备可设置为其他仪器模式的功能(可依需设置为 Luminex 200 模式、FLEXMAP 3D 模式、MAGPIX 模式),你是否也好奇,设置为相应模式后与真实使用该款仪器获取的数据差异多大?
在使用细胞因子试剂盒进行实验的外部研究中,研究人员将 INTELLIFLEX 设置为 Luminex 200 模式,并且对比 Luminex 200 与 Luminex 200 模式下的 INTELLIFLEX 获取的实验结果 [8] 。
结果显示,两种仪器间的数据几乎一致,根据标曲定出的质控品及样品浓度亦高度相同,证实 INTELLIFLEX 上取得的数据具可比性。

两款款仪器高度一致的标准曲线 [8]
Luminex 白皮书下载
总结
使用 xMAP 技术,不仅帮助实验室高效完成多种靶标检测,更让使用者间能够相互对比数据、交流且合作!
参考文献
[2] Equivalent Analytical Performance Between the New MAGPIX® System and the Luminex® 100/200™ System, https://www.luminexcorp.com/download/equivalent-analytical-performance-between-the-new-magpix-system-and-the-luminex-100200-system/
[3] MAGPIX® Provides Equivalent Performance to the Luminex® 100/200™ in an HPV Vaccination Trial, https://www.luminexcorp.com/download/magpix-provides-equivalent-performance-to-the-luminex-100200-in-an-hpv-vaccination-trial/
[4] Multiplex immunoassay for persistent organic pollutants in tilapia: comparison of imaging- and flow cytometry-based platforms using spectrally encoded paramagnetic microspheres. Food Addit Contam Part A Chem Anal Control Expo Risk Assess. 2013;30(5):843-52.
[5] A comparison of non-magnetic and magnetic beads for measuring IgG antibodies against Plasmodium vivax antigens in a multiplexed bead-based assay using Luminex technology (Bio-Plex 200 or MAGPIX). 2020 Dec 4;15(12):e0238010. doi: 10.1371/journal.pone.0238010. eCollection 2020.
[6] A high-throughput microsphere-based immunoassay of anti-SARS-CoV-2 IgM testing for COVID-19 diagnostics
2021 Sep 2;16(9):e0248444. doi: 10.1371/journal.pone.0248444. eCollection 2021.
[7] MAGPIX and Luminex 200 Instruments Provide Equivalent Multiplex Detection of Inflammation Pathway Analytes, https://www.sigmaaldrich.com/deepweb/assets/sigmaaldrich/product/documents/275/133/tn1999en-ms.pdf
[8] Enableing Biomarker Discovery with Mulitplex Immunoassays (eBook), https://www.luminexcorp.com/blog/multiplexing-101-new-resource-for-immunoassays-in-biomarker-discovery/
[9] Luminex internal study and product package insert.
下载 Cookbook
了解更多关于 xMAP® 的实验策略及优化!

想要了解更多Luminex产品信息
欢迎联系我们
路明克斯贸易(上海)有限公司
Luminex Trading (Shanghai) Company Limited
地址:上海市闵行区陈行路2388号7幢14C及14D室
邮编:201114
电话:+86.21.8036.9888
传真:+86.21.8036.9899
E-mail: infocn@luminexcorp.com
www.luminexcorp.com
技术支持热线:400 996 2655
©2022 Luminex Corporation. All rights reserved. Luminex and xMAP are trademarks of Luminex Corporation, registered in the U.S. and other countries.

