一个准确的岩土热物性测试报告对于地源热泵项目的成功是至关重要的,今天就跟大家说说热物性测试那些事儿,并带大家看看“浅层地热和建筑节能工程技术研究中心”最近出品的具有国际标准的“ZRV1.0热物性测试仪”,如果您想预订仪器或者做测试请拨打:
400-075-6755。
(1)通过地质钻探基本查明场地的地层岩性及地下水条件,为地埋管单孔深度设计、钻孔回填工艺及其成本估算提供参考依据。
(2)通过热响应试验数据计算场地岩土热物性参数,结合系统参数计算出每延米换热量指标,为地埋管总工程量预算提供参考依据。
《地源热泵系统工程技术规范》(GB 50366-2005)(2009版)
规范3.2.1条:地埋管地源热泵系统方案设计前,应对工程场区内岩土体地质条件进行勘察。
规范4.2.2A条:当地埋管地源热泵系统的应用建筑面积在3000~5000m2时,宜进行岩土热响应试验;当应用建筑面积大于等于5000m2时,应进行岩土热响应试验。
规范C.1.1条:地埋管地源热泵系统的应用建筑面积大于等于10000m2时,测试孔的数量不应少于2个。
测试原理:按照简化后的线源传热模型,地热换热器与其周围岩土的换热方程可确定管内流体平均温度与深层岩土的初始温度之间的关系为:

其中:
(1)测试程序
第一阶段:编制方案——钻探成孔——埋管回填
第二阶段:测试试验——数据处理——编制报告
(2)测试仪器
ZRV1.0热物性测试仪是浅层地热和建筑节能工程技术研究中心按照国际地源热泵协会(IGSHPA)关于岩土热物性测试有关推荐标准,充分考虑中国地源热泵测试钻孔参数的实际情况研发的最新成果:
①功率测量采用台湾台技功率变送器,测量精度±0.2%,优于中国国家标准精度±1%;
②流量测量采用德国西门子电磁流量计,测量精度±0.4%,优于中国国家标准精度±1%;
③温度测量采用德国科威尔PT1000铂电阻温度传感器,测量精度0.2%(±0.1℃),优于中国国家标准精度±0.2℃;
④数据采集与记录采用北京昆仑海岸XSR90无纸记录仪,采集记录时间间隔1min,优于中国国家标准10min。

图3-1 ZRV1.0热物性测试仪器

图3-2 ZRV1.0热物性测试仪
(3)计算软件
①瑞典SBM热物性测试数据计算程序
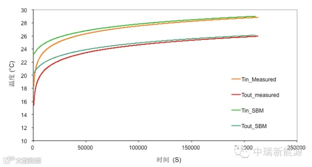
热物性数据处理软件采用瑞典SBM热物性测试数据计算程序,SBM(叠加钻孔模型)是用于模拟地埋管一孔或多孔的数值模型,其与参数估计法相结合是热响应试验的一种优化计算方法。

图3-3 SBM计算程序拟合曲线图
②中瑞新能源地源热泵集成设计系统软件GS1.0
换热量指标模拟计算采用地源热泵集成设计系统软件GS1.0,该软件以自主研发的理论成果的动态传热模型为核心,可以模拟地源热泵和地埋管换热器系统在长达20年的工作状态,在地埋管换热器传热分析方面具有国际领先水平。
图3-4 地源热泵集成设计系统GS1.0 (中瑞新能源)
(4)测试过程
热物性测试仪中的管路与地热换热器(PE管)地下回路相接,循环泵驱动水在回路中循环流动,水经过恒功率加热器加热后流经地下回路与地下岩土进行换热,连续运行48小时。测试过程示意图见图4。

图4 测试过程示意图



