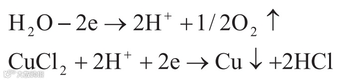
01 项目简介
02 应用领域
环境领域。
03 合作方式
合作方式:技术转移,产学研合作等。
价格:面议
联系方式:长按扫描二维码,填写您的需求


点击下方“阅读原文”填写技术需求表 ☺
往期分享
往期活动
科技成果
科技牛咨讯01 项目简介
02 应用领域
环境领域。
03 合作方式
合作方式:技术转移,产学研合作等。
价格:面议
联系方式:长按扫描二维码,填写您的需求


点击下方“阅读原文”填写技术需求表 ☺
往期分享
往期活动
科技成果