搜索
首页
大数快讯
大数活动
服务超市
文章专题
出海平台
流量密码
出海蓝图
产业赛道
物流仓储
跨境支付
选品策略
实操手册
报告
跨企查
百科
导航
知识体系
工具箱
更多
找货源
跨境招聘
DeepSeek
首页
>
十三省联盟带量采购,正式结果公布
>
0
0
十三省联盟带量采购,正式结果公布
容域元
2024-04-18
1
导读:2月21日,广东省药品交易中心发布《关于公布广东联盟阿莫西林等药品集中带量采购中选结果的通知》...据悉,参与
2月21日,广东省药品交易中心发布《关于公布广东联盟阿莫西林等药品集中带量采购中选结果的通知》...
据悉,参与本次集中带量采购的联盟地区包括:广东、山西、江西、湖南、湖北、广西、
海南
、贵州、甘肃、青海、宁夏、新疆、新疆生产建设兵团。
本次中选产品使用约定:采购年度内,在完成协议采购量后,公立医疗机构(含未报量的公立医疗机构)仍应优先采购使用获得增量资格的中选产品;中选产品总使用量占同品种同组药品总使用量的比例不低于70%。公立医疗机构选择采购使用未获得增量资格的中选产品的,其采购年度内完成协议采购量后,确需继续采购的执行自主采购的要求。
本次药品集中带量采购周期原则上到2025年12月31日,自中选结果实际执行日起计算,首年采购期截止至2024年12月31日。
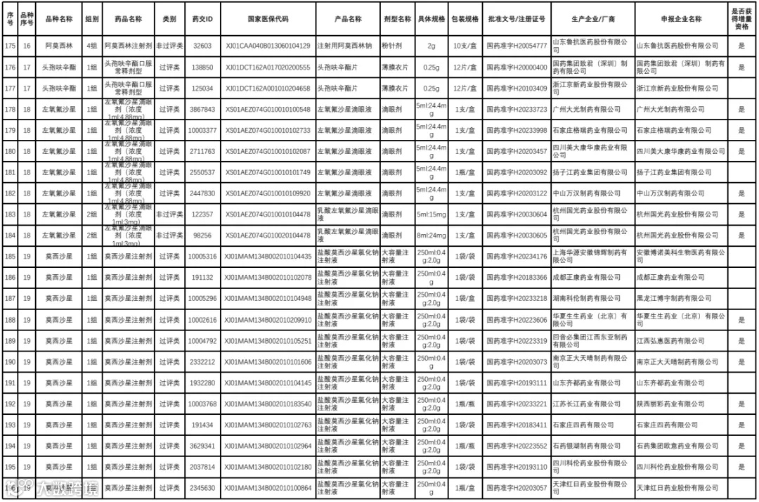
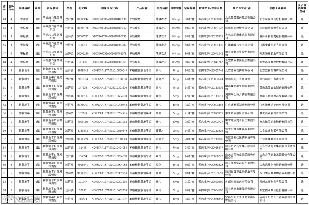
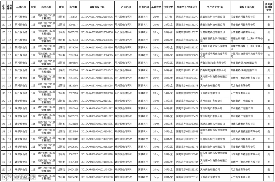
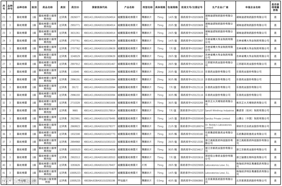
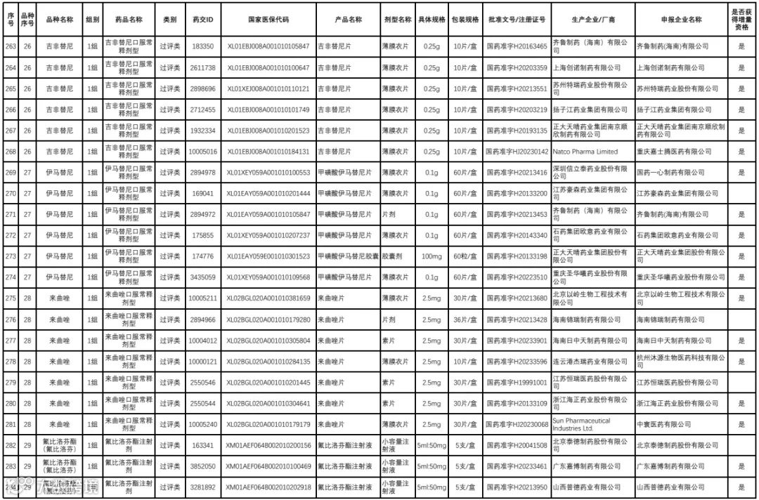
具体中选厂家、品种的结果如下:
【声明】内容源于网络
0
0
容域元
药企全渠道营销&销售管理SaaS厂商
内容
79
粉丝
0
关注
在线咨询
容域元
药企全渠道营销&销售管理SaaS厂商
总阅读
74
粉丝
0
内容
79
在线咨询
关注