01
概述
转向力矩波动是指在车辆转向过程中,转向力矩呈现出非恒定的变化现象。例如,正常情况下驾驶员转动方向盘时,期望转向力矩是相对平稳地随着转向角度变化而变化,但由于各种因素影响,实际的转向力矩可能会出现忽大忽小的波动情况。它可以是周期性的变化,也可能是不规则的变化。对于周期性波动主要与转向系统的十字万向节的不等速特性和布置方案有关。
图1 原地转向方向盘转向力矩曲线图
02
转向力矩波动理论
对于单十字万向节,设主动叉由初始位置转过φ_1角,从动叉相应转过φ_2角,两轴夹角为α,则从动叉与主动叉转角关系为:
tan〖φ_1=tan〖φ_2∙cosα 〗 〗
则从动轴的角速度ω_2与主动轴的角速度ω_1的关系为:
ω_2=ω_1∙cosα/(1-〖sin〗^2α∙〖cos〗^2〖φ_1 〗 )
图2 十字万向节不等速特性
这种角速度的波动会导致输出扭矩的波动。因为功率P=T∙ω(T为扭矩,ω为角速度),在传递功率一定的情况下,角速度的波动必然引起扭矩的波动。
双十字万向节具有波动补偿特性,为了减小单十字万向节的波动特性,通常会采用双十字万向节。双十字万向节在布置理想的情况下(即中间轴与主、从动轴夹角相等且传动轴两端万向节主、从动轴轴线处于同一平面内),可以使输入轴和输出轴的角速度相等。
对于双十字万向节,设第一个万向节(靠近主动轴)的主动叉转角为φ_11,从动叉转角为φ_12;第二个万向节(靠近从动轴)的主动叉转角为φ_21(因为中间轴的连接,φ_12=φ_21),从动叉转角为φ_22。根据单十字万向节的转角关系公式,对于第一个万向节有:
tan〖φ_11=tan〖φ_12∙cos〖β_1 〗 〗 〗
对于第二个万向节有:
tan〖φ_21=tan〖φ_22∙cos〖β_2 〗 〗 〗
由于φ_12=φ_21,β_1=β_2,可以推导出在理想情况下φ_22=φ_11,即实现了等角速传动。
图3 双十字万向节
实际上,空间布置原因,转向系统传动轴两端万向节主、从动轴轴线不在同一平面内。因此,实际分析过程中,转向力矩波动还与第一个十字万向节的两轴平面1与第二个十字万向节的两轴平面2之间的夹角θ、转向中间轴两端十字叉相位角Ψ有关。
图4 转向中间轴万向节相位角
03
Adams Car建模及仿真分析
转向力矩波动分析模型是包含转向系统的前悬架装配模型,子系统包括转向子系统、前悬架子系统和悬架台架子系统。转向系统硬点如下:
创建转向子系统时,十字万向节铰链类型使用universal定义。I Part选择与万向节主动叉固连的部件,J Part选择与万向节从动叉固连的部件。I-Part Axis选择十字轴主动叉参考方向点,该点与万向节中心点连线即为十字轴主动叉轴线;J-Part Axis选择十字轴从动叉参考方向点,该点与万向节中心点连线即为十字轴从动叉轴线。
图5 十字轴万向节创建
图6 十字万向节模型图
在转向系统模板中,分别创建转向输入轴沿其轴线的角速度request(Wz_Steer_Input)和转向输出轴沿其轴线的角速度request(Wz_Steer_Output)。装配前悬架模型,将转向子系统模型设置为运动学(Kinematic Mode)模式。在菜单栏Simulate依次选择Suspension Analysis→Dynamic进入悬架动态仿真,Duration Time输入时间,Steering Excitation选择displacement或velocity,Steering Input输入方向盘转角或转速表达式。运行仿真。
图7 转向运动学工况定义
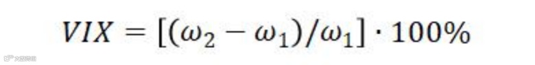
进入后处理,分别导入转向输出轴角速度”Steer_Output_Wz”和转向输入轴角速度”Steer_Input_Wz”。通常将转向输出轴角速度的波动率表达方向盘扭矩的波动程度,公式如下:
由仿真结果得出本模型转向力矩波动率。
图8 转向输入轴和输出轴角速度曲线
注:十字万向节可以使用”Hooke Joint With Angle”,通过Phase angle来定义中间轴两端十字叉相位角,有助于快速优化相位角。
相关产品链接:
http://www.anscos.cn/adams.html
更多信息请关注庭田科技
全国热线:400 633 6258
官方邮箱:info@anscos.com
【文章来自海克斯康工业软件】
END
详细产品介绍请点击下方【阅读原文】查看。
长按下方二维码,咨询更多行业解决方案!
向左滑动二维码,查看庭田科技更多服务内容

