
在橡胶件CAE仿真分析中,橡胶件刚度,密封性等仿真工况的分析相对容易,但是如何进行橡胶疲劳寿命的分析当前还是困扰工程师的一个难题。
Marc在橡胶、密封行业有着广泛的应用,针对橡胶疲劳寿命的仿真,Marc有几种方法可以实现:
Mullins效应
弹性体疲劳寿命损伤理论
❖通过弹性体疲劳寿命损伤理论来进行疲劳寿命分析,基本思想和传统的金属疲劳的一致,仿真计算工作量很小,适合在工程计算中应用。
基于开裂能量密度
❖ 通过开裂能量密度的方法进行疲劳寿命的计算,基于裂纹扩展的基本假设,考虑拉伸载荷作用和平均应力的修正,并给出关键区域的开裂方向。相对于上面的方法,其分析精度较高。


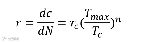
假设小裂纹的能量释放率与裂纹的尺寸c成比例,如下所示:

同时,最大的能量释放率可以表达为如下形式:

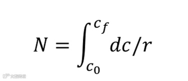
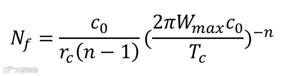
可得出,疲劳寿命的计算公式如下:

以橡胶件,衬套为例,首先在现有的橡胶材料模型参数的参数基础上,需增加用于弹性体疲劳计算的参数,如下图所示:

其中,系数Wmax、rc、N、c0、分别为临界撕裂能量,最大裂纹扩展速率,指数系数,初始微裂纹尺寸。模型计算时不考虑载荷比值的修正。其次,定义橡胶衬套的载荷计算工况。在该案例中,我们先约束衬套的中心和对称面,同时定义衬套的边缘沿径向和轴向同时加载1mm的正弦振动。载荷加载形式为正弦波,在一个正则时间步内完成。

同时在结果输出中,需要将柯西应力张量和应变梯度进行输出,以用于后续的疲劳寿命计算。计算结果如下图所示。可以看到,最大对数主应变发生在橡胶衬套和套筒的接触位置已经在衬套边缘特征位置。

在此基础上,新增一个用于疲劳计算的分析任务,用于疲劳寿命计算。其计算设定参数如下图所示。其中,载荷类型采用变幅载荷,并选定前一步计算好的结果文件。定义好寿命计算的增量步范畴,该分析取第一步到最后一步的应变进行疲劳寿命计算。

疲劳计算结果如下图所示,可以看到其损伤最大的位置在橡胶特征倒角处,最小对数寿命为2.7。这与前面计算的最大等效柯西应力位置对应。同时,还可以预测出橡胶裂纹开裂面,如下图所示。其中红色箭头所指的方向即为疲劳开裂平面的法向。

采用Marc软件,可以很方便的在计算完强度的基础上,进行橡胶件疲劳寿命的计算。从而帮助客户快速预测橡胶件的疲劳寿命,提升产品开发效率。
相关产品链接:https://www.anscos.com/marc.html
更多信息 请关注庭田科技
如需更多技术咨询,请随时与我们联系
全国热线:400 633 6258
官方邮箱:info@anscos.com
【文章来自海克斯康工业软件】




