肺炎链球菌 Streptococcus pneumoniae

肺炎链球菌血清分型鉴定
微球平台结合单克隆抗体进行 13 种血清型多重鉴定
Development and validation of a sensitive and robust multiplex antigen capture assay to quantify Streptococcus pneumoniae serotype-specific capsular polysaccharides in urine
mSphere. 2022 Aug 1;e0011422. doi: 10.1128/msphere.00114-22
使用微球法对肺炎儿童尿液样本进行抗原检测
Application of a Pneumococcal serotype-specific urinary antigen detection test for identification of pediatric pneumonia in Burkina Faso
Pediatr Infect Dis J. 2021 May 1;40(5):418-425
建立覆盖 11 种肺炎链球菌血清型的微球尿抗原检测法
Qualification and clinical validation of an immunodiagnostic assay for detecting 11 additional Streptococcus pneumoniae serotype-specific polysaccharides in human urine
Clin Infect Dis 2020;71:E430–8. 10.1093/cid/ciaa158
在前瞻性研究中使用微球多重法确认由疫苗覆盖血清型引发的成人肺炎链球菌病比例
Pneumococcal epidemiology among US adults hospitalized for community-acquired pneumonia
Vaccine. 2019 May 31;37(25):3352-3361
针对 24 种血清型及交叉反应血清型建立微球尿抗原多重检测法
Development of an extended-specificity multiplex immunoassay for detection of Streptococcus pneumoniae serotype-specific antigen in urine by use of human monoclonal antibodies
Clin Vaccine Immunol. 2017 Dec 5;24(12):e00262-17
开发同时检测 13 种肺炎链球菌血清型的多重检测法
Validation of an immunodiagnostic assay for detection of 13 Streptococcus pneumoniae serotype-specific polysaccharides in human urine
Clin Vaccine Immunol. 2012 Aug;19(8):1131-41
利用微球平台以免疫及分子组合检测法对肺炎链球菌进行分型鉴定
Development of an automated and multiplexed serotyping assay for Streptococcus pneumoniae
Clin Vaccine Immunol. 2011 Nov; 18(11): 1900–1907
肺炎链球菌抗体检测

以多重微球法评估营养状态及接种肺炎链球菌疫苗后抗体效价间的关系
Dietary intake and pneumococcal vaccine response among children (5-7 years) in Msambweni division, Kwale County, Kenya
mSphere. 2022 Aug Front Nutr. 2022 May 23;9:830294
Factors influencing PCV13 specific antibody response in Danish children starting in day care
Sci Rep. 2020 Apr 10;10(1):6179
以多重微球法评估血液病不同基因型及肺炎链球菌疫苗免疫反应差异
Comparison of pneumococcal vaccination response in children with sickle cell disease: HbSS and HbSC
Allergol Immunopathol (Madr). 2019 Nov-Dec;47(6):564-569
验证肺炎链球菌疫苗抗体微球检测法与 WHO ELISA 法的等效性
Evaluation of a validated Luminex-based multiplex immunoassay for measuring immunoglobulin G antibodies in serum to pneumococcal capsular polysaccharides
mSphere. 2018 Aug 8;3(4):e00127-18
建立基于微球平台的 13 价肺炎链球菌疫苗抗体效价检测法
Development and validation of 13-plex Luminex-based assay for measuring human serum antibodies to Streptococcus pneumoniae capsular polysaccharides
mSphere. 2018 Aug 8;3(4):e00128-18
比较三种肺炎链球菌疫苗抗体检测法(微球法及两种免疫 ELISA 法)
Interlaboratory comparison of three multiplexed bead-based immunoassays for measuring serum antibodies to pneumococcal polysaccharides
Clin Vaccine Immunol. 2010 May;17(5):862-9
建立并优化 13 种肺炎链球菌血清型抗体检测法
Optimization and application of a multiplex bead-based assay to quantify serotype-specific IgG against Streptococcus pneumoniae polysaccharides: response to the booster vaccine after immunization with the pneumococcal 7-valent conjugate vaccine
Clin Vaccine Immunol. 2010 Apr;17(4):674-82
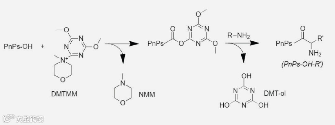
通过 DMTMM 修饰肺炎链球菌多糖抗原以与 Luminex 微球进行偶联
A novel chemistry for conjugating pneumococcal polysaccharides to Luminex microspheres
J Immunol Methods. 2006 Feb 20;309(1-2):75-85
建立同时定量 9 种肺炎链球菌血清型抗体的多重微球法
Development and validation of a nonaplex assay for the simultaneous quantitation of antibodies to nine Streptococcus pneumoniae serotypes
J Immunol Methods. 2005 Jan;296(1-2):135-47
同场加映 webinar
参考文献
下载 Cookbook
了解更多关于 xMAP® 的实验策略及优化!

想要了解更多Luminex产品信息
欢迎联系我们
路明克斯贸易(上海)有限公司
Luminex Trading (Shanghai) Company Limited
地址:上海市闵行区陈行路2388号7幢14C及14D室
邮编:201114
电话:+86.21.8036.9888
传真:+86.21.8036.9899
E-mail: infocn@luminexcorp.com
www.luminexcorp.com
技术支持热线:400 996 2655
©2022 Luminex Corporation. All rights reserved. Luminex and xMAP are trademarks of Luminex Corporation, registered in the U.S. and other countries.

