大数跨境
0
0

权威发布 | 2022年全国技术合同成交金额突破4.7万亿

权威发布 | 2022年全国技术合同成交金额突破4.7万亿 科技牛咨讯
2023-02-28
1
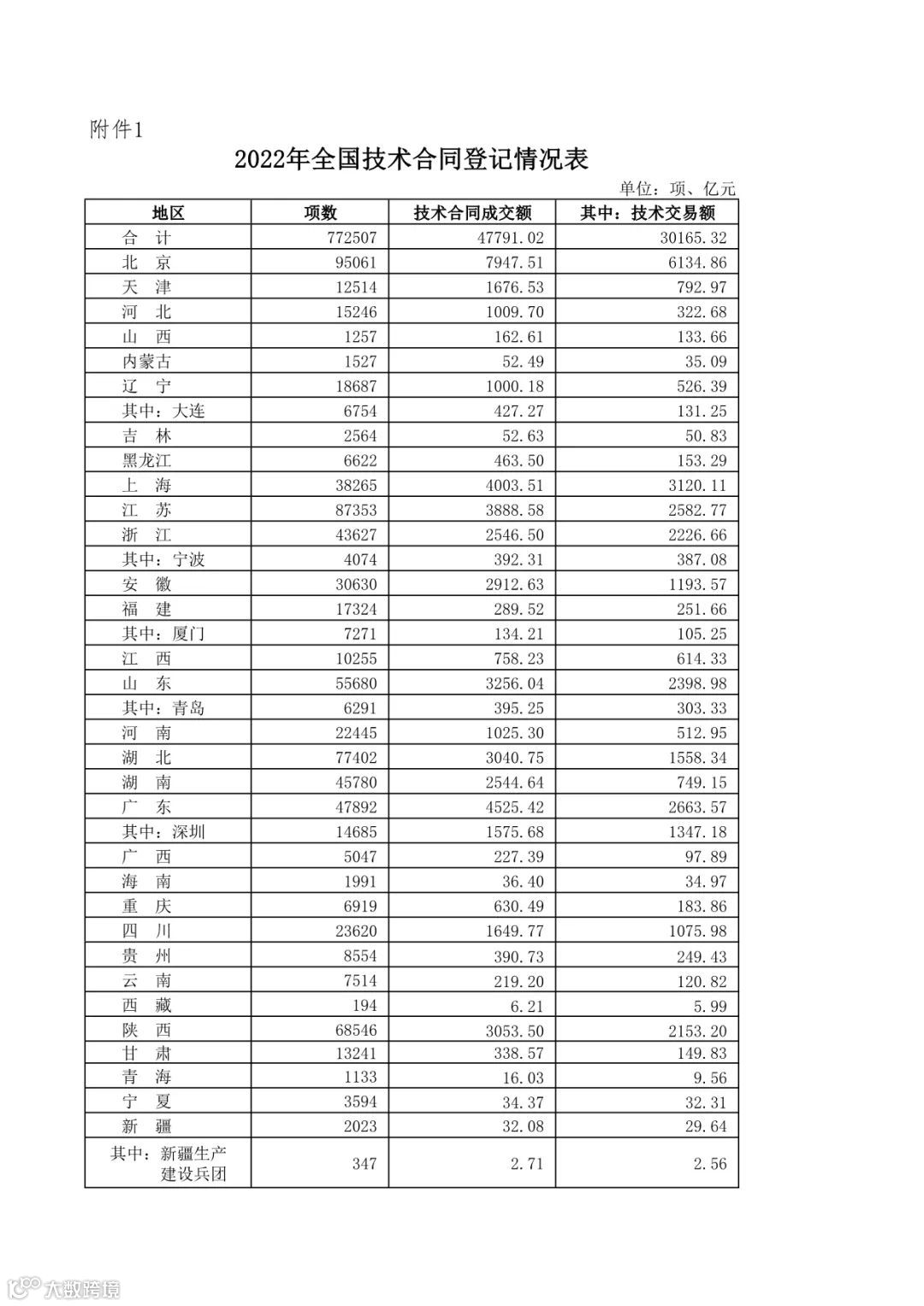
导读:据科技部火炬中心网站消息:科技部火炬中心近日发布《2022年度全国技术合同交易数据》

据科技部火炬中心网站消息:科技部火炬中心近日发布《2022年度全国技术合同交易数据》(国科火字〔2023〕63号),2022年全年全国共登记技术合同772507项,成交金额47791.02亿元,分别比上年增长15.2%和28.2%。全国技术合同认定登记成交金额居前十位的省市依次为北京、广东、上海、江苏、山东、陕西、湖北、安徽、浙江和湖南。


来源:科技部火炬中心


【声明】内容源于网络
0
0
科技牛咨讯
企业技术的研发中心,科研成果的转化中心。关注我们,带你了解前沿科技资讯、最新科研成果。
内容 3688
粉丝 0
科技牛咨讯 企业技术的研发中心,科研成果的转化中心。关注我们,带你了解前沿科技资讯、最新科研成果。
总阅读30
粉丝0
内容3.7k