闫路顺
工程硕士,ARBURG(阿博格)深圳应用工程部经理,资深工艺工程师,注塑行业从业十五年以上,在ARBURG(阿博格)主要负责LSR应用。
众所周知,阿博格的注塑一向以精密见长。那么如何做到精密注塑呢?首先第一步选择正确合适的机型。那么如何选择合适的机型呢?精确地计算锁模力是非常重要的第一步,因为它可以:
精确控制
模腔更好的排气(90%的空气从分型面排出)
减少机器和模具的磨损
节省能源
怎样计算锁模力
I. 单组分
锁模力= 单位锁模力 X (产品投影面积 + 流道投影面积)
如果有滑块,需要将滑块投影面积的30%加入产品投影面积
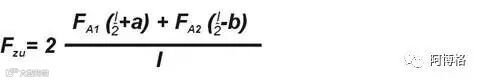
II. 多组分


单位锁模力的确定
一般零件
薄壁件L/S系数=最大流道长度/最小零件壁厚

3. 现在我们来通过案例来练习一下:
接插件/ PA6.6
长度:6 cm
宽度 :1.5 cm
浇道投影面积:8 cm2单位锁模力: 6 kN/cm2
模穴数/ cavities: 8
锁模力= 6千牛/ cm2 x (1.5cm x 6cmx 8腔 + 8cm2浇口投影面积)= 480千牛 = 48吨

