Amazon Rufus Radar(亚马逊Rufus AI洞察雷达)
Amazon Rufus 正在重构电商搜索逻辑——从传统“关键词索引”转向“意图理解与答案合成”。在此背景下,Rufus Radar应运而生:一款专为亚马逊卖家设计的AI洞察与监控工具,聚焦于产品在Rufus生成式回答中的引用频率、可见度份额与推荐逻辑验证。
核心理念:从“争夺排名”转向“争夺引用”
传统SEO关注列表页Ranking(排名),而Rufus GEO(生成式引擎优化)的核心目标是成为Rufus回答用户“买什么”时的首选证据。关键指标不是“是否出现在结果页”,而是:是否被引用(Citation)、是否被推荐(Recommendation)、是否位于答案黄金位置。
技术架构:三层能力体系
数据采集层(The Sensor)
- 真实账号模拟:基于10个不同地区、不同画像(价格敏感型/品牌忠诚型/新品尝鲜型)的真实买家账号,在移动端进行多轮提问测试,确保数据贴近真实用户行为;
- 对抗非确定性:针对同一问题重复提问5–10次,计算产品出现的提及概率(Mention Probability),而非单次绝对结果;
- 技术栈:采用Playwright或Puppeteer实现浏览器/APP自动化。
核心功能模块
- 逆向提问系统(Query Fan-out System):针对单个ASIN,通过LLM分析Listing与评论,自动生成200+条高意图买家提问(如“适合扁平足的跑鞋”“续航最久的蓝牙耳机”),构建结构化“提问库”;
- 可见度量化(Visibility Metrics):
- 引用频率(Citation Frequency):100次相关提问中产品被推荐次数;
- 位置调整词频($Imp_{pwc}$):答案中归因于本产品的字数 × 位置衰减权重(开头权重远高于结尾);
- 答案占位率(Share of Answer):本品牌内容字数 / AI总回答字数;
- AI声音份额(Share of AI Voice):本品牌提及次数占竞品总提及比例;
- 情感分析(Sentiment):Rufus提及本品牌时为正面(如“耐用性最好”)、中立或负面。
- 内容优化建议引擎(Optimization Engine):
- 对比竞品Listing,识别差距;
- 建议在A+页面、五点描述或Q&A中嵌入统计数据(“续航提升40%”)、权威引用(行业标准/奖项)及结构化数据(表格),实证可提升可见度达40%。
落地执行三阶段路线图
阶段一:基线构建与手动验证
- 准备10个差异化购物历史账号;
- 设计100个问题矩阵:宽泛类(“Best running shoes for men”)、场景类(“Running shoes for marathon training”)、对比类(“Brand A vs Brand B”);
- 记录每次回答中提及的ASIN、形容词、引用来源(Listing描述 or “Most Helpful”评论);
- 定位Rufus最常引用的“源头数据”,建立初步黑盒认知。
阶段二:GEO优化实战循环
- 选取新品或腰部产品,执行GEO注入策略:
- 将定性描述改为定量(“Fast charging” → “Charges 50% in 15 mins”);
- 在A+页面引用行业标准或权威奖项;
- 在Q&A板块针对Rufus回答薄弱的问题,自问自答并使用结构化语言;
- 每日用10账号提问,追踪“被推荐概率”变化;
- 若提及率持续上升,则固化该策略为算法模型。
阶段三:MVP工具化
- 输入:ASIN或关键词;
- 输出:“Rufus Visibility Score”(0–100分)、竞品对比雷达图;
- 智能警报:当产品从Rufus首选推荐中掉落时自动通知。
竞品与市场分析
当前市场尚未出现成熟Amazon Rufus专用监测工具,但可借鉴以下海外AI搜索监控方案:
- Profound:专注企业级AI声音份额(SoV)与情感分析,Dashboard支持多模型(ChatGPT/Perplexity)表现对比;
- ZipTie:提供SGE/AI Overview优化建议,不止监控“是否掉出”,更指出“如何改回”;
- Otterly.ai:轻量级SaaS,界面简洁、上手快,适合MVP参考;
- Semrush AI Toolkit:传统SEO巨头转型产品,整合基础GEO数据能力。
国内ERP(如领星、紫鸟)尚未集成Rufus监控——这正是独立SaaS或API插件的关键机会点。
理论支撑:GEO论文核心结论
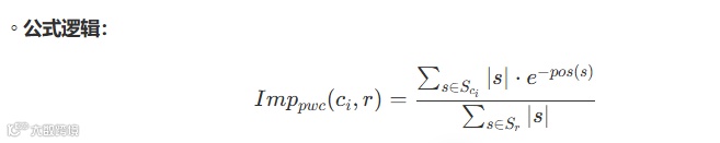
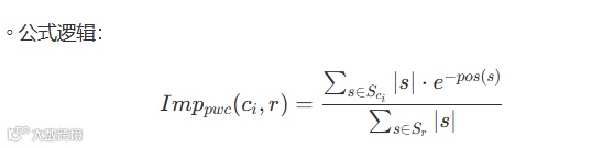
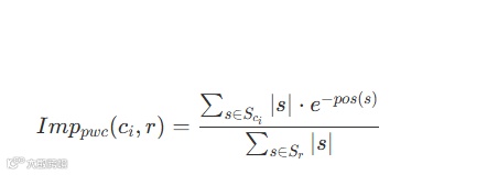
- $Imp_{pwc}$(位置加权字数)公式: $$Imp_{pwc}(c_i, r) = \frac{\sum_{s \in S_{c_i}} |s| \cdot e^{-pos(s)}}{\sum_{s \in S_r} |s|}$$
结论:出现在答案开头的引用价值超末尾10倍;AI阅读遵循“倒金字塔”,首要位置即黄金位置。
- GEO有效性排序(效果提升30%–40%):
- 引用权威来源(Cite Sources):嵌入.gov/.edu等可信链接;
- 增加引语(Quotation Addition):专家直接引述增强可信度;
- 增加统计数据(Statistics Addition):用定量替代定性表述。
- 需规避策略:关键词堆砌(Keyword Stuffing)在生成式引擎中基本无效,甚至损害表现。
人群画像与商业定位
- 头部品牌方:关注品牌声誉与AI声音份额(SoV),需“监控与防御”Rufus幻觉风险;
- 精铺/精品卖家:聚焦流量获取,需“反查+优化”能力,快速提升推荐概率;
- PPC广告投放师:需评估Rufus推荐与广告流量的协同或分流关系。
核心趋势判断: – Zero-Click Commerce:用户不再点击进入Listing,直接在Rufus对话框完成决策; – Review Mining:Rufus高度依赖评论,未来SEO或将演进为“评论区SEO”,引导用户产出高权重关键词。
总结:Rufus Radar的本质
打造Rufus Radar,核心不在于“查排名”,而在于:查概率、查差异、查监控、查逻辑。
- 收录(Indexing):确保Listing信息(尤其结构化数据)被Rufus准确读取;
- 可见性(Visibility):通过GEO策略(加数据、改结构、强引用)提升被推荐概率;
- 监控(Monitoring):长期追踪1000+问题下的动态SoV与$Imp_{pwc}$变化。
类比而言:传统SEO是讨好“图书管理员”(靠关键词匹配被找到);GEO则是说服“教授”(靠高质量论据被课堂引用)。你的内容,必须成为Rufus讲课时愿意脱口而出的那一页讲义。
Rufus问答验证与Listing自查
Rufus不会猜测商品能力,也不会使用Listing之外的隐含常识——它仅基于前台+后台文本与属性中明确、可引用的信息作答并推荐。因此,验证核心是:Listing是否具备“无需猜测即可回答买家问题”的能力。
- 生成≥20条真实买家提问(覆盖功能、兼容、安装、清洁、安全、对比、售后等维度);
- 模拟Rufus作答:仅允许引用Listing中明确存在的文字或属性;
- 输出标注:
可直接回答 / 部分可回答 / 无法回答,并定位缺失字段或措辞。
Listing合规自查要点
依据亚马逊Seller Central最新政策(2024–2025),重点检查:
- 标题:≤150字符、无特殊符号/促销语、结构合规(品牌+核心产品+关键属性);
- 主图:纯白背景(RGB 255,255,255)、占比≥85%、无水印/边框/文案;
- 五点描述:3–5条、单条10–255字符、突出卖点、数字单位清晰;
- 产品描述:≤2000字符、禁外链/联系方式/未验证承诺、HTML仅限<b><strong><em><p>;
- 后台关键词:避免品牌名/竞品名/价格词、防止重复;
- A+内容:需品牌备案、禁促销/外链、图文平衡、含alt-text、强化对比模块与技术规格表。
引用频率监测与可见度评估指标体系
在生成式搜索时代,“被引用”已成为新货币。关键指标包括:
核心量化指标
- 引用频率(Citation Frequency):特定查询下品牌被引用的绝对次数;
- $Imp_{pwc}$(位置调整词频):字数 × 位置指数衰减权重,反映引用质量;
- 答案占位率(Share of Answer):品牌内容字数 / AI总回答字数;
- AI声音份额(Share of AI Voice, SoV):品牌提及次数 ÷ 竞品总提及次数。
定性评估指标
- 主观印象(Subjective Impression):由GPT-4等LLM从7维评分——相关性、影响力、独特性、主观位置、主观数量、点击可能性、多样性;
- 情感与准确性:防范AI幻觉带来的品牌声誉风险。
竞争与商业指标
- 提示引用率(Prompt Coverage):在Must-Win关键查询中的引用覆盖度;
- 排名稳定性:通过多轮运行计算提及概率与置信区间,区分真实提升与随机波动;
- AI引荐流量:追踪来自chatgpt.com/perplexity.ai/bing.com/亚马逊Rufus等的归因流量;
- 品牌搜索提升:监测AI引用增加后,用户主动搜索品牌名的增幅。
PAWC:GEO时代的北极星指标
在SEO时代看Rank,在GEO时代看PAWC(Position-Adjusted Word Count)——即$Imp_{pwc}$。这是普林斯顿GEO论文提出的核心数学模型,直接量化品牌在AI眼中的价值。
公式本质拆解:
- 份额($|s|/|r|$):答案占位率,衡量内容被引用的体量;
- 位置($pos(s)$):内容出现在答案第几句?研究证实AI答案呈倒金字塔结构;
- 衰减因子($\gamma$):指数级惩罚项,末尾引用价值不足开头的1/10。
未来KPI应转向:
– 首位推荐率:是否出现在“推荐XX产品”回答的第一段;
– 证据归因(Citation):是否被列为脚注参考来源。

