在一种特殊晶体中,电子与其对应的空穴在强磁场作用下形成自旋方向相反的配对——即自旋三重态激子。该状态虽不导电,却能高效传递自旋信息,为低功耗、高速度的自旋电子器件提供新路径。
刘金雨团队首次在五碲化铪(HfTe5)材料中,于极低温与超强磁场条件下,实验观测到自旋三重态激子绝缘体。这一发现为研制不发热的新型芯片及量子计算元件奠定关键基础。
(来源:https://doi.org/10.1103/bj2n-4k2w)
微观世界的激子新构型
在固体材料中,电子带负电,空穴代表其离开后留下的带正电“空位”。二者通常因库仑吸引结合成激子,多数为自旋方向相同的单重态激子。
本研究中,在强磁场调控下,电子与空穴实现自旋反向配对,形成罕见的三重态激子——类似两个旋转方向相反的小陀螺稳定耦合,难度极高且此前未被实验证实。
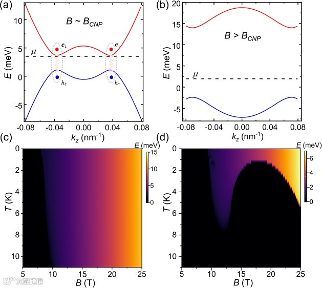
五碲化铪属于拓扑材料,其能带结构对外场极为敏感。当施加足够强的磁场时,电子运动被量子化为朗道能级;随着磁场增强,第零级朗道能级中自旋极化的电子与空穴能带发生交叉,形成一维外尔模式,并最终演化为自旋三重态激子绝缘态。
刘金雨表示:“我们首次在拓扑材料中通过实验实现了自旋三重态激子绝缘体。这也是首次在实验上证实,基于第零级朗道能级可形成该量子物态。”
(来源:https://doi.org/10.1103/bj2n-4k2w)
绝缘的新机制:电荷平衡而非载流子耗尽
研究发现,在特定临界磁场以上,五碲化铪电阻急剧上升,由金属转变为绝缘体;与此同时,霍尔信号趋近于零——表明体系中既无过剩电子,也无过剩空穴,整体电中性。
这说明材料并非因载流子缺失而绝缘,而是电子与空穴以激子形式成对束缚,对外不显电性,亦不参与导电。理论计算显示,所打开的绝缘能隙约为250微电子伏特,与自旋三重态激子结合能高度吻合。
(来源:https://doi.org/10.1103/bj2n-4k2w)
三重态激子的独特优势
相比常规单重态激子,自旋三重态激子具备三大特性:
- 保持平移对称性:形成过程不破坏晶格周期性,状态更稳定、更均匀;
- 高磁场兼容性好:在强磁场下比单重态更稳定,利于极端条件应用;
- 可承载纯自旋流:自旋相反配对使系统可传输自旋角动量,而无净电荷流动,从而避免焦耳热损耗。
传统电流依赖电荷定向迁移,必然产热。若仅利用自旋作为信息载体,有望实现超低功耗乃至零发热的电子器件。此次发现的自旋三重态激子绝缘体,正是构建此类器件的理想候选材料。
图 | 刘金雨(来源:刘金雨)
后续研究方向
刘金雨团队已将五碲化铪样品减薄至10–几十纳米量级,并正在制备门电压可调的二维器件,旨在从极限维度探测激子绝缘态及其他量子输运现象。
他指出:“若干理论预言的材料体系或可在零磁场下自发形成自旋三重态激子绝缘体。若能在实验中确证其无外场稳定存在,将是更具突破性与应用价值的重大进展。”

