脂肪醇在膏霜配方中的关键作用:从“填充物”到“骨架构建者”
开发膏霜时,配方师常遇到看似“玄学”的问题:
- 相同配方更换不同脂肪醇,粘度差异巨大;
- 为提升耐热性将C16/18醇替换为高熔点纯C18(硬脂醇),反而导致膏体无法成型、甚至分层。
实际上,脂肪醇远非简单增稠剂或油相填充物。英国斯特拉斯克莱德大学G.M. Eccleston教授的经典研究指出:脂肪醇是构建膏霜“层状凝胶网络”(Gel Network)的核心骨架。
本文基于Eccleston教授发表于《International Journal of Cosmetic Science》(1982)和《Colloids and Surfaces A》(1997)的两篇奠基性文献,结合实验数据与显微图像,解析高纯度脂肪醇在不同乳化体系中的真实表现及底层机理。
脂肪醇在非离子型乳化剂体系中的影响
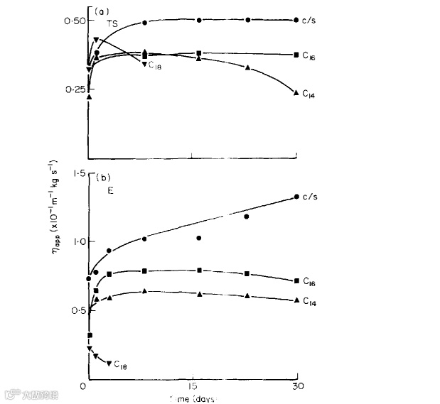
颠覆认知:C18醇的“滑铁卢”
C18硬脂醇(熔点约58°C)熔点高于C16鲸蜡醇(熔点约49°C),按常规逻辑,使用纯C18应获得更高粘度与更好耐热性。但Eccleston 1982年研究发现:在PEG-1000单硬脂酸酯体系中,纯C18配方不仅未增稠,反而在数日内迅速破乳,形成流动性液体。
▲不同脂肪醇体系30天内粘度变化趋势(C16:十六醇;C18:十八醇;C14:十四醇;C/S:十六十八醇混合醇)
▲表1:不同脂肪醇在非离子体系中的表现对比
核心机理:溶胀(Swelling)与液晶网络
膏霜粘度主要源于水相中形成的层状凝胶网络,而非油滴堆积。当表面活性剂、脂肪醇与水共存时,表面活性剂插入脂肪醇晶格,形成含水层状结构——该过程称为“溶胀”。
▲非离子乳化体系中的层状凝胶网络示意图
非离子乳化剂缺乏强静电排斥力,难以插入结构致密的纯C18晶格,导致溶胀失败、网络缺失。
而C16/C18混合醇因碳链长度差异,晶体排列不规则,产生晶格缺陷与微孔隙,为非离子乳化剂提供插入通道,从而增强稳定性与稠度。
▲混合醇 vs 纯C18醇的微观机理差异
显微镜下的证据:看到相互作用
显微观察进一步验证理论:将脂肪醇晶体与表面活性剂溶液接触后,C14、C16醇晶体边缘出现明显溶胀扩散现象;而纯C18晶体即使接触24小时,仍无显著变化。
▲图(a):肉豆蔻醇(C14)晶体;图(b):C14+表面活性剂(6小时);图(c):C16+表面活性剂(6小时);图(d):C18+表面活性剂(24小时)
▲表3:显微镜扩散实验结果对比(PEG-1000 MS体系)
配方师的避坑指南
针对非离子乳化体系(如PEG-100硬脂酸酯、68型乳化剂、A165等),应遵循以下原则:
▲表4:配方开发实操建议
总结:脂肪醇不是被动填充料,其结晶形态直接决定产品宏观性能。掌握液晶网络理论,是配方师从经验驱动迈向科学设计的关键跃升。
脂肪醇在离子型乳化剂体系中的影响
核心机理:静电排斥力的“暴力美学”
离子型乳化剂(如硬脂酸钠、硬脂酰谷氨酸钠SSL、季铵盐1631/1831)头部带强电荷,插入脂肪醇晶格后产生显著静电斥力,可将水层撑开至500Å以上,远超非离子体系的约100Å水层厚度。
▲离子型乳化体系的层状结构示意图
图中标注~500Å显示静电斥力(正负符号)所构建的巨大吸水空间,实现极少量乳化剂高效锁水。
纯C18醇的“逆袭”:从废柴变王者
在离子体系中,纯C18醇彻底“翻身”:
- 可有效溶胀:强静电斥力足以克服C18晶格的范德华力,强制打开结构,形成稳定凝胶网络;
- 高硬度与高粘度:因C18本身晶格刚性强,成网后质地更硬、稠度更高。
全景对比:一张表看懂配方底层逻辑
不同乳化体系下脂肪醇行为存在本质差异:
离子体系配方师实战建议
尽管离子体系可兼容纯C18醇,但需注意其结晶性过强,长期储存易发生奥斯特瓦尔德熟化(晶体粗化),影响膏体质地细腻度。对于普通保湿霜,C16/C18混合醇仍是兼顾稳定性与肤感的优选方案。
参考资料:
- Eccleston, G. M. (1982). The influence of fatty alcohols on the structure and stability of creams prepared with polyethylene glycol 1000 monostearate/fatty alcohols. International Journal of Cosmetic Science.
- Eccleston, G. M. (1997). Functions of mixed emulsifiers and emulsifying waxes in dermatological lotions and creams. Colloids and Surfaces A.


