国务院关税税则委员会关于2026年关税调整方案的公告
税委会公告2025年第11号
为深入贯彻党的二十大和二十届历次全会精神,发展新质生产力,满足人民对美好生活的需要,扩大高水平对外开放,推动高质量发展,依据《中华人民共和国关税法》及相关规定,自2026年1月1日起,对部分商品的进口关税税率和税目进行调整。具体内容见附件。
国务院关税税则委员会
2025年12月26日
关务小二提醒:微型电机、印花机、硫酸等商品的进口暂定税率将于2026年1月1日起取消,恢复执行最惠国税率。非享惠进口情形下,上述商品关税率将相应提高。
2026年关税调整方案概览表

附件:2026年关税调整方案
官方下载:
https://gss.mof.gov.cn/gzdt/zhengcefabu/202512/t20251229_3980625.htm
汇总下载:Excel+PDF格式
https://www.guanwuxiaoer.com/thread-14339-1-1.html
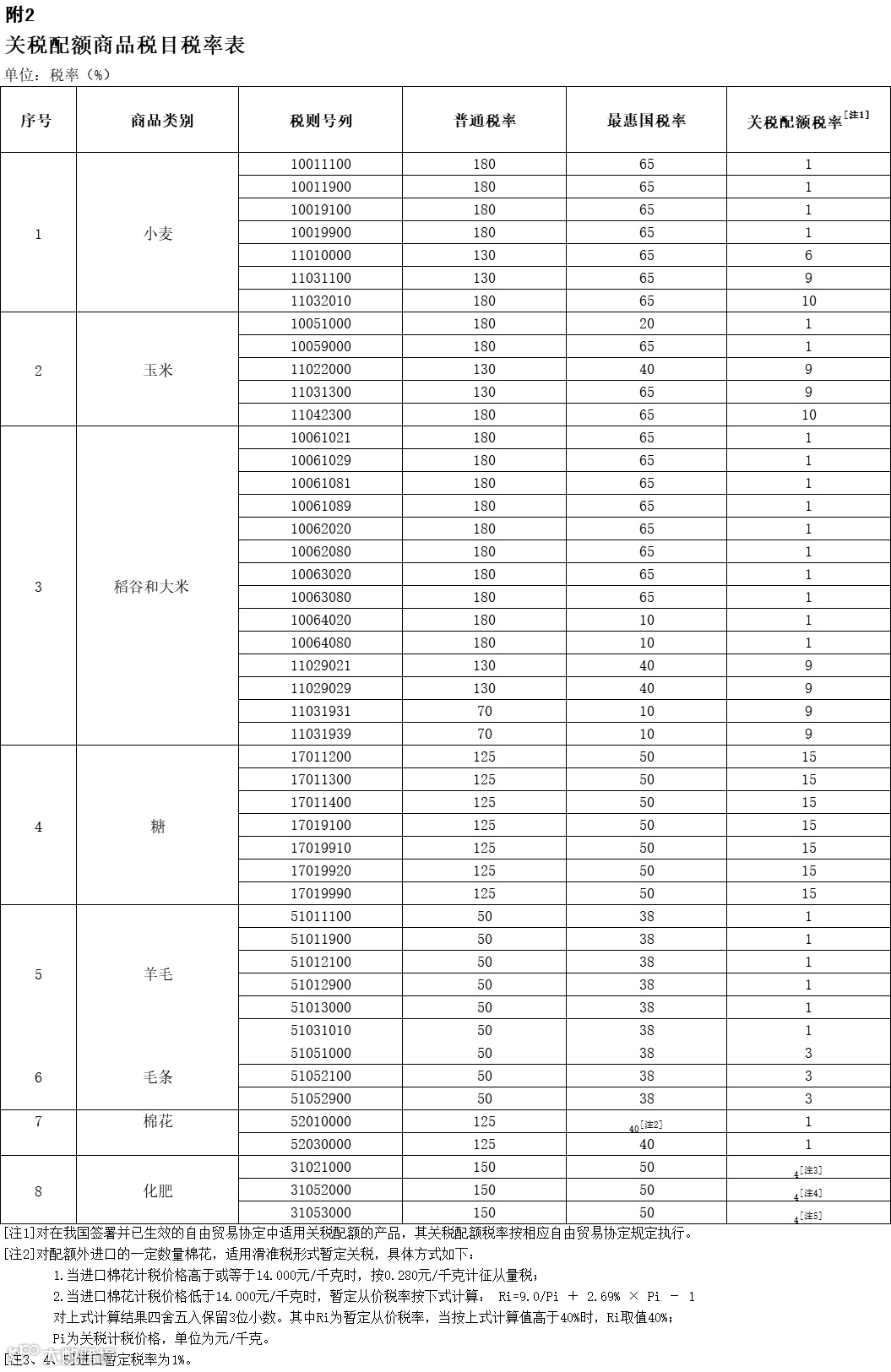
关税配额商品税目税率表
出口商品税率表
进出口税则税目调整表
本国子目注释调整
来源:关务小二整理自财政部

