中国“人造太阳”再获重大突破!
华中科技大学朱平教授与中科院合肥研究院严宁副教授团队主导的托卡马克边界物理研究,登上《Science Advances》。
该研究首次实验验证了“边界等离子体与壁相互作用自组织(PWSO)”理论模型,揭示了长期困扰聚变研究的密度极限物理本质。
成果确认了托卡马克中“密度自由区”的存在,成功突破格林沃尔德密度极限,为聚变点火提供全新技术路径。
密度极限:聚变效率的关键瓶颈
磁约束核聚变中,提升等离子体密度是实现能量净增益最高效的手段之一。依据劳森判据,聚变功率密度与等离子体密度的平方成正比——密度翻倍,理想输出可提升四倍。
然而,半个多世纪以来,托卡马克运行始终受限于经验性“格林沃尔德密度极限”,其公式简洁但缺乏第一性原理支撑:
密度临界值 ∝ 等离子体电流 / 小半径²。
一旦线平均密度超限,等离子体约束性能骤降,易引发大破裂,威胁装置安全。因此,绝大多数装置长期运行在极限值的0.8–1.0倍区间。
若无法从物理机制上破解该限制,未来聚变堆高密度稳态运行的安全性便难以保障。
物理开关:从经验极限到机理突破
研究团队引入并实验验证PWSO理论模型,将核心等离子体与第一壁视为一个通过杂质辐射紧密耦合的自组织系统。
该模型指出:密度极限本质并非磁流体不稳定性,而是由壁溅射引发的热-辐射反馈失稳所致。
当辐射反馈系数α > 1时,系统失衡,触发辐射塌缩;反之则维持稳定。
由此推导出的临界密度公式明确包含垂直扩散系数、杂质比例、辐射冷却率及靶板温度决定的溅射产额积分I(Tt):
该方程表明:临界密度与垂直扩散系数成正比,与杂质比例及辐射冷却率成反比;更关键的是,其对靶板温度呈高度非线性依赖。
模型预言运行状态空间存在两个“吸引盆”:
一是传统“密度受限区”——靶板温度高、溅射强烈、辐射冷却主导,系统被锁定在格林沃尔德极限之下;
二是新发现的“密度自由区”——靶板温度低,物理溅射被抑制,反馈系数维持低位,密度上限大幅抬升,运行潜力近乎“自由”。
全金属钨壁是实现该跃迁的关键硬件基础。相比碳壁主导的化学溅射,钨的物理溅射具有明确能量阈值:仅当入射粒子能量超阈值时才发生溅射。
因此,只要将偏滤器靶板前等离子体温度压低至该阈值以下,杂质产生即被物理阻断,溅射项趋近于零,临界密度趋于极大值,系统自然落入“密度自由区”。
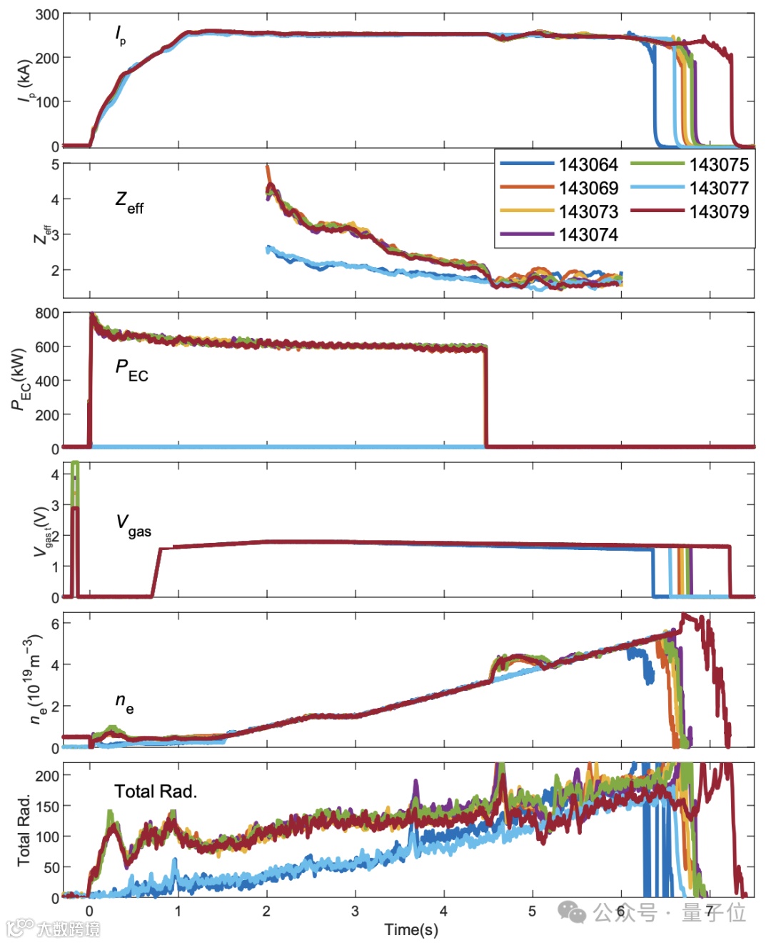
实验验证:EAST成功实现高密度稳态运行
依托EAST全超导托卡马克及其全钨偏滤器,团队设计创新启动策略:在等离子体形成初期,采用电子回旋共振加热(ECRH)协同欧姆加热,并施加远高于常规水平的预填充中性气体压力。
实验结果表明:线平均电子密度稳定维持在格林沃尔德极限的1.3–1.65倍,且全程未出现磁流体大破裂,工程鲁棒性得到充分验证。
微观诊断数据进一步证实“开关”被成功触发:在高气压辅助下,随着ECRH功率提升,偏滤器靶板附近等离子体温度反而显著下降,成功低于钨溅射阈值;杂质辐射反馈机制被切断,系统跃迁至“密度自由区”。
该成果表明,未来聚变堆可通过优化启动策略与壁条件控制,在不依赖杂质注入前提下,实现类仿星器的高密度稳态运行,为聚变点火开辟全新路径。
研究团队
本研究由华中科技大学、中科院合肥物质科学研究院等离子体物理研究所与法国艾克斯-马赛大学联合完成。
论文第一作者为华中科技大学电气与电子工程学院刘家兴;通讯作者为华中科技大学朱平教授(兼美国威斯康星大学麦迪逊分校教授)与中科院合肥研究院严宁教授。EAST团队全程参与实验与数据分析。

