中国团队在EAST装置实现等离子体密度重大突破

2026年1月2日,国际权威期刊《Science Advances》在线刊发华中科技大学与中国科学院合肥物质科学研究院等离子体物理研究所(ASIPP)联合团队的最新成果:在全超导托卡马克“东方超环”(EAST)上,首次实现等离子体线平均电子密度对格林沃尔德密度极限(Greenwald density limit)的显著、稳定超越。

图:团队论文(来源:Science Advances)
突破性实验数据与运行状态确认
实验测得等离子体密度达格林沃尔德极限的1.3–1.65倍,远高于EAST以往0.8–1.0倍的常规区间,且全程保持良好稳定性 [2] 。更重要的是,通过实验与理论深度比对,研究证实EAST已进入一种全新的“无密度限制机制”(density-free regime)运行状态 [3] 。
该突破标志着我国在解决磁约束核聚变核心参数瓶颈方面取得实质性进展,为未来聚变堆在保障燃料纯度前提下实现高功率稳态输出,提供了原创性技术路径 [4] 。
格林沃尔德极限:长期制约托卡马克性能的关键瓶颈
磁约束聚变的能量增益取决于温度、密度与能量约束时间三者的乘积(劳森判据)。在温度与约束时间相对稳定的前提下,提升等离子体密度是增强反应率、提高能量产出的直接途径 [5] 。
但自1988年马丁·格林沃尔德提出经验公式以来,该极限被视为托卡马克运行的“硬天花板”:密度一旦逼近极限,极易触发“大破裂”(disruption),导致放电猝灭——类似高速赛车强行突破空气动力学临界点后的失控 [6] 。
尽管德国ASDEX Upgrade、美国DIII-D等装置曾借助弹丸注入等手段实现瞬时突破,但在稳态、长时间运行条件下大幅、稳定超越该极限,仍是全球聚变界未解难题 [7] 。
创新启动方案:ECRH辅助+高气压预填充实现机制跃迁
本研究未采用外源杂质强注入等“暴力突破”方式,而是通过电子回旋共振加热(ECRH)辅助欧姆启动配合高强度中性气体预填充,引导等离子体自发演化至新稳态 [8] 。
在1430xx系列实验中,当ECRH功率达约600 kW并同步提升氘气预填充量时,等离子体密度极限呈现阶梯式上升;最终在最优工况下达成1.65倍nG的高密度运行,系统完成由传统模式向“无密度限制模式”的质变 [9] 。

图:马丁·格林沃尔德(来源:Wbur.org)

图:德国ASDEX Upgrade(来源:EUROfusion)
理论支撑:等离子体–壁自组织(PWSO)机制揭示双重稳态
团队提出“等离子体–壁自组织”(Plasma-Wall Self-Organization, PWSO)理论模型,将等离子体与偏滤器靶板视为耦合整体,揭示其存在两个不同稳定区域(即“吸引盆”) [10] :
- 传统“密度极限盆”:靶板温度高→材料溅射强→杂质辐射冷却边缘→电流通道收缩→破裂;
- 新型“无密度限制盆”:靶板温度低→溅射受抑→杂质减少→辐射耗散降低→高密度可维持而不塌缩 [11] 。
在此机制下,理论密度上限大幅释放,数学模型趋近于无穷大 [12] 。
工程意义:为ITER与CFETR提供“冷边界、高密度”新范式
当前ITER和中国聚变工程实验堆(CFETR)面临的核心挑战之一是热负荷控制。现有主流方案依赖主动注入氖、氩等杂质实现“脱靶”运行,但杂质易渗入核心区,稀释氘氚燃料,损害聚变效率 [13] 。
EAST实验证明:仅靠ECRH辅助启动与高气压调控,即可自然形成“低温靶板+高密度芯部”的协同状态,在不牺牲燃料纯度的前提下兼顾偏滤器防护与高性能输出,为破解“热负荷–燃料纯度”矛盾提供全新工程范式 [14] 。
目前实验仅使用约600 kW ECRH功率,尚未达EAST加热系统满负荷能力。理论预测表明,随功率提升,“无密度限制盆”运行将更稳健,有望实现更高密度峰值 [15] 。

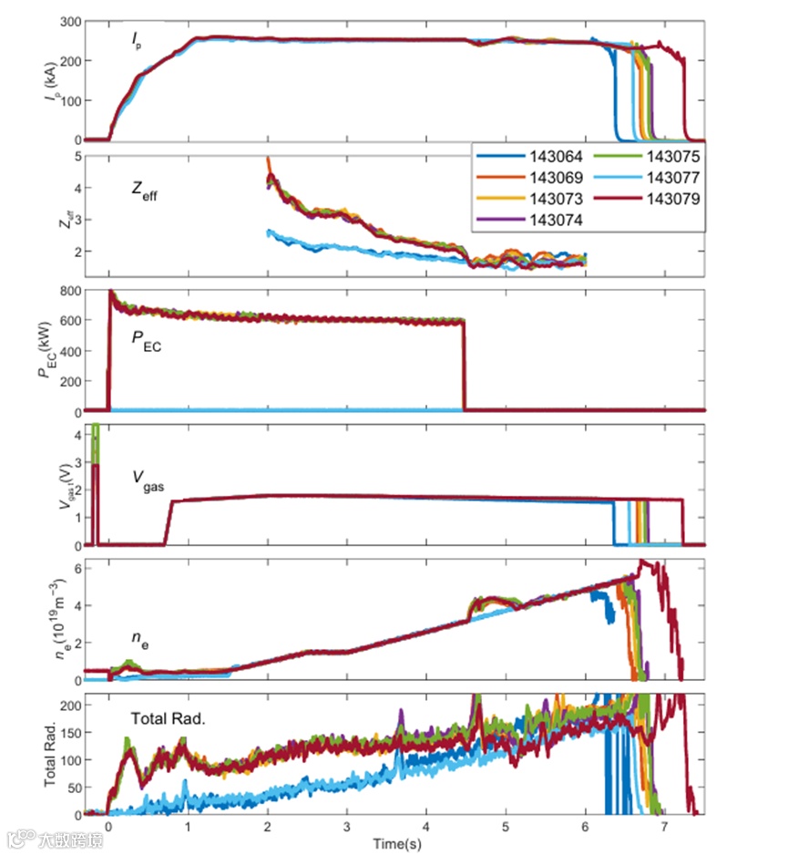
图:EAST装置突破密度极限的关键时刻。图中展示了实验放电过程中关键参数随时间的演化情况。从上至下依次为等离子体电流、有效电荷数(代表纯净度)、ECRH辅助加热功率、气体注入电压以及线平均电子密度(ne)。注意图中不同颜色曲线代表不同实验条件,红色曲线显示电子密度显著攀升并成功超越格林沃尔德极限(来源:论文)


