导读:
随着数字化技术的快速发展和普及,中小型企业数字化转型已成为提升竞争力、适应市场变化的关键举措。本文利用DEMATEL-ISM方法,从技术、组织、人员和环境等方面对中小型企业数字化转型的阻碍因素进行了深入分析,寻找最关键的阻碍因素,提出了相应的应对策略,旨在为中小型企业实现数字化转型提供参考和借鉴。
01
基本信息:
中小型企业数字化转型的阻碍因素分析
Analysis of Obstacles to Digital Transformation of Small and Medium-Sized Enterprises
作者:
刘小月, 陈敬蕾:对外经济贸易大学信息学院,北京;鞠大伟:中国邮政集团有限公司邮政研究中心,邮政科学研究规划院,北京
关键词:
数字化转型;DEMATEL;ISM方法;决策模型
项目基金:
教育部人文社会科学研究青年项目(19YJC630107)
对外经济贸易大学中央高校基本科研业务费专项资金资助(20YQ04)
对外经济贸易大学优秀青年学者资助项目(20YQ12)
原文链接:
https://doi.org/10.12677/mse.2024.134088
02
内容简介:
在汉斯出版社《管理科学与工程》期刊上,有论文将从技术、组织、人员和环境等多个方面对中小型企业数字化转型的阻碍因素进行深入分析,旨在为企业实现数字化转型提供全面的参考和借鉴。通过深入探讨这些阻碍因素,可以帮助中小型企业更好地应对挑战,制定有效的数字化转型策略,从而顺利实现数字化转型并获得持续的竞争优势。
相较于大型的企业来说,中小型企业的数字化转型仍存在一系列的限制与阻碍,为更深入地了解其阻碍因素,本文邀请6位数字化转型方面的专家学者,结合相关的文献研究,对中小型企业在数字化转型过程中所遇到的阻碍进行分析,从中找到相关的因素,并在次基础上进行修改、补充。并最终发现了导致数字化转型收到阻碍的14个相关因素,相关因素如表1所示。

ISM和DEMATEL是两种常用的结构化分析方法,用于探索复杂系统中各个因素之间的相互关系。它们可以帮助研究人员理清问题的结构,并识别出影响力最大的关键因素。而DEMATEL-ISM方法是一种结合DEMATEL和ISM两种方法的综合分析方法,旨在识别复杂系统中关键要素及其影响程度,并构建要素的层级结构。为了确定相关因素的重要程度,本文邀请了6位该领域的专家对该问题进行评分。评分标准如表2所示。

将中小型企业数字化转型的阻碍因素问题转化为“Xi对Xj的影响程度大小”,并对结果进行标准化处理,得到中小型制造业数字化转型阻碍的直接影响矩阵X = [Xij]m×n,Xij表示因素i对因素j的影响程度。该矩阵能够对系统内各因素间是否存在直接影响关系以及直接影响的程度做出一定意义上的解释。绘制出的直接影响矩阵W如表3所示,计算出最大值c以及标准化影响矩阵F,综合影响矩阵K,以及各个因素的影响度D、被影响度C、中心度M以及原因度R。

以中心度为横轴,原因度为纵坐标轴建立坐标系,将各因素按照中心度和原因度的坐标点绘制坐标系,得到散点图如图1所示。

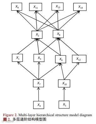
可达矩阵用于表示影响因素间是否存在相互影响,记可达矩阵为H(H = [hij]),如表7所示。最终该14个因素共划分得到五个层级,如表8所示。在对这 14 个因素的层级进行划分之后,又结合可达矩阵深入分析,绘制出了如图 2 所示的多层递阶结构模型图。



结论
随着时代的进步和市场竞争的激烈,数字化供应链已成为企业发展的必然趋势。本文从综合管理的角度提出了解决中小型企业供应链数字化转型问题的方法。文章详细阐述了转型的驱动因素和机理,针对每一项驱动因素建立了决策模型并制定了相应的管理方案与策略。利用DEMATEL-ISM方法,从技术、组织、人员和环境等方面对中小型企业数字化转型的阻碍因素进行了深入分析。识别并分析了影响中小型企业数字化转型的关键因素,进而提出了相应的解决策略。通过全面分析中小型企业数字化转型的阻碍因素,识别出技术人才缺乏、数据互用性差和技术基础薄弱等关键问题,并提出了相应的应对策略。其创新点在于综合使用多种分析方法和多维度视角。但本文的样本存在一定的局限性,方法适用性需进一步验证,应对策略的实际效果也尚待检验。数字化转型是中小型企业发展的必然趋势,但也是一个充满挑战的过程。面对诸多阻碍因素,企业需要坚定信心,迎难而上。同时,数字化转型也是一个系统工程,需要企业从战略、组织、技术、管理等多个层面进行综合考虑和布局。
03
相关文章:
1.贾冬锐, 李鹏举. 中小企业数字化转型的现状、制约因素及对策建议[J]. 电子商务评论, 2024, 13(2): 1765-1769. https://doi.org/10.12677/ecl.2024.132215
2.钟雨墨, 林芳. 中国制造业企业数字化转型分析[J]. 国际会计前沿, 2023, 12(4): 509-515. https://doi.org/10.12677/FIA.2023.124066
3.李凡, 江瑶, 陈旭. 数字化转型背景下企业创新的影响因素分析——基于CiteSpace的知识图谱分析[J]. 运筹与模糊学, 2023, 13(4): 2850-2863. https://doi.org/10.12677/ORF.2023.134285
4.张霞, 孙景蔚. 中国车企数字化转型的5W-1H分析——以小鹏汽车为例[J]. 世界经济探索, 2023, 12(4): 365-379. https://doi.org/10.12677/WER.2023.124041
5.佘笑雨. 数字化转型与企业技术创新分析[J]. 运筹与模糊学, 2024, 14(1): 293-298. https://doi.org/10.12677/ORF.2024.141028
所属期刊


-Management Science and Engineering-
《管理科学与工程》是一本开放获取、关注管理工程领域最新进展的国际中文期刊,反映本领域研究成果及其在生产实践中的应用成果,主要刊登管理工程与科学方面的学术论文、成果报道及评述。本刊支持思想创新、学术创新,倡导科学,繁荣学术,集学术性、思想性为一体,旨在给世界范围内的科学家、学者、科研人员提供一个传播、分享和讨论该领域内不同方向问题与发展的交流平台。
声明:本文转载仅仅是出于传播信息的需要,并不意味着代表本公众号观点或证实其内容的真实性;如其他媒体、网站或个人从本公众号转载使用,须保留本公众号注明的“来源”,并自负版权等法律责任。如本公众号内容不妥,或者有侵权之嫌,请先联系小编删除,万分感谢!
临床个性化医学|一种中药复方提取液空气气溶胶消毒剂的消毒效果


投稿联系:027-86758873
QQ:2194278918
微信号:15802748706
投稿邮箱:2194278918@qq.com
合作联系:service@hanspub.org
点击“阅读原文”,免费下载论文

