导读:
基于“十四方程”理论发展而来的阻抗综合法(ISM)具有物理清晰、求解迅速和精度高的特点,常应用于复杂充液管路系统的声振耦合求解。然而在充液管路系统与壳体耦合的实际工程应用中,难以单纯应用阻抗综合法求解。若采用有限元方法(FEM)求解,不仅需要大量计算资源,且难以厘清声振耦合传递的机制。本文以管路和弹性板的耦合系统为例,利用管路与弹性板耦合处力和位移等边界条件的连续性,给出一种阻抗综合法和有限元方法相结合的计算方法。求解了两种充液管路和弹性板耦合系统的响应,通过与FEM对比,验证本方法的正确性,并在此基础上分析了弯管以及管内流体对模型固有频率和振动响应的影响,为与壳体耦合的复杂充液管路的声振耦合传递提供一种高效且物理过程清晰的计算方法。
01
基本信息:
充液管路和弹性板耦合的ISM-FEM混合计算方法
Hybrid ISM-FEM Computational Approach for Coupled Fluid-Filled Pipelines and Elastic Plates
作者:
姜岩岩, 刘碧龙*, 李 震, 康鲁迪:青岛理工大学机械与汽车工程学院,山东 青岛
关键词:
振动响应;阻抗综合法;十四方程;充液管路;弹性板
项目基金:
国家自然科学基金(12374447)
原文链接:
https://doi.org/10.12677/ojav.2025.131001
02
内容简介:
在汉斯出版社《声学与振动》期刊上,有论文提出的ISM-FEM混合计算方法为研究与壳体耦合的复杂充液管路的声振耦合传递机制提供了一种高效的计算和分析工具。
充液管路系统按其振动形式可以分为轴向振动、横向振动和扭转振动三类,3个方向的振动互不耦合,可以分别独立求解。以充液直管–弹性板耦合系统模型为例,充液直管内力、声压与位移示意图如图1所示。
充液直管轴向振动方程为:
充液直管yoz平面内横向振动方程为:
式(1)~式(2)中,R、h、Ap和Af分别为管路内径、壁厚、横截面积和流体横截面积;ρf和ρp分别为管内流体密度和管壁密度;K*为管内流体体积模量;If和Ip分别为流体和管壁的转动惯量;κ为Timoshenko梁剪切系数;G为管路剪切模量。
对轴向振动方程和yoz平面横向振动方程均采用分离变量法,以轴向振动式(1)为例,管路两端(z = 0, z = L)的轴向振动传递矩阵可以写为
据ISM传递矩阵与阻抗矩阵之间的关系,左端为力状态向量,右端为位移状态向量,得到管路轴向阻抗矩阵:
式中,Ti (i = 1, 2, 3, 4)为2 × 2矩阵。
同理可以根据管路横向振动方程式(2),可以得到横向阻抗矩阵Zyoz。对于直管,轴向和横向振动互不耦合,将轴向和yoz面横向阻抗矩阵组合后的直管整体阻抗矩阵为:
将式(5)简写为:
式中,F和W为直管两端状态向量,Zi (i = 1, 2, 3, 4)为4 × 4矩阵。
弯管采用离散方法,根据弯头处的连续性,将90˚直角弯管离散3段直管,弯管离散模型如图2所示。
传递矩阵和状态向量均在局部坐标系下,将充液管路传递矩阵T从局部坐标系(x, y, z)转换到全局坐标系(x¯,y¯,z¯) 下得到T˜ 。管路系统的坐标转换矩阵为:
式中,α 为管路直角坐标系和全局坐标系的夹角。
故充液管路在全局坐标系下传递矩阵为:
式中,T为管路传递矩阵,Ti(i = 1, 2, 3, 4)为4 × 4矩阵。
再由式即可得到弯管中离散直管全局坐标系下的阻抗矩阵,管路两端满足力和位移的平衡,对弯管系统进行组装,得到弯管系统力与位移的关系为:
式中,F包括力和力矩,W包括位移和转角,Zij (i = 1, 2, 3, 4; j = AB, BE, EF, FC, CD)为4 × 4矩阵,弯管系统的阻抗矩阵为24 × 24矩阵。
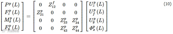
应用FEM分别对弹性板的内环施加Fz、Mx、Fy单位激励力,得到管路弹性板耦合处位移阻抗边界条件,结合管路ISM即可对整个管路–弹性板耦合系统的振动位移响应进行求解。弹性板为薄板,忽略管路与弹性板耦合处(z = L)管壁位移与流体声压的耦合,根据阻抗矩阵的定义得到弹性板内环的位移阻抗边界条件为:
将式简写为:
式中Fp 和Wp 为弹性板内环状态向量,元素Zpij 为管路与弹性板耦合处的结构输入位移阻抗,Zf12 是管口处流体的声辐射位移阻抗,由下式给出:
式中,R1为弹性板内径,k为波数,J1为一阶贝塞尔函数,K1为一阶修正贝塞尔函数,本文算例中管口外部的流体区域为轻流体,ρ0和c0分别为空气密度和空气中声速。
在管路和弹性板耦合处满足力和位移的连续条件:
将力的连续性边界条件式代入式得:
由将式代入式,由式位移边界条件的连续性得:
由式已知:
将式代入式得到管板连接处响应为:
式表明,一旦管道一端激励已知后,可以求得管路与弹性板耦合处的振动位移响应及管路出口流体的振速。
为验证本文ISM-FEM混合计算方法的正确性,与直接FEM计算结果对比分析,两种管路–弹性板耦合系统有限元模型如图3所示。直管、弯管总长度相同,管路和弹性板材料均为20号钢,具体尺寸和材料参数如表1所示,有限元软件中管壁和弹性板均采用壳单元,管内流体采用声学单元,网格尺寸均为0.02 m,流体和结构绑定接触,管路弹性板刚性连接,管口外部流体区域为轻流体,水的流体声学体积模量和密度分别为K = 2.14 × 109 Pa和ρf = 1000 kg/m3,水中声速为c0 = 1500 m/s,计算频率为1~1000 Hz,分析步长为1.0 Hz。
结论
本文采用ISM-FEM混合计算方法,研究管路与壳体的声振耦合的求解方法和传递机制。建立两种管路–弹性板耦合系统模型,通过算例从充液管路与弹性板耦合处管壁的轴向位移、管内流体的振速进行分析。计算结果与FEM对比非常吻合,证明了本文方法的正确性,且计算效率更高,尤其是在计算不同参数影响或连接同种弹性板的充液管路系统时有显著优势。并分析了弯管和管内流体对系统声振耦合的影响,结果表明,管路–弹性板耦合系统管内充液和空气相比,管内流体质量会使充液管路–弹性板系统固有频率和振动频响曲线向低频偏移。弯管使得管路–弹性板耦合系统比直管相同阶数的固有频率显著降低,共振峰的数量增加,整体振动水平有所降低。管口外部的流体区域为重流体时,与壳体耦合的充液管路系统声振耦合传递机制更为复杂,更进一步工作将集中在管口外部重流体负载时,空间管路弹性板耦合系统的声振传递机制和辐射噪声预报。
03
相关文章:
1.王金凤, 刘洋, 李宏, 李晓瑜. 耦合非线性抛物方程组的H1-Galerkin混合元方法[J]. 理论数学, 2011, 1(2): 73-79. http://dx.doi.org/10.12677/pm.2011.12016
2.尹武良, 赵倩. 利用BEM-FEM混合法对高频电磁层析成像系统中金属屏蔽层的优化分析 [J]. 电磁分析与应用, 2014, 3(2): 13-24.
http://dx.doi.org/10.12677/EAA.2014.32003
3.杨宁. 非线性时间分数阶四阶混合次扩散和扩散波动方程的混合有限元算法[J]. 应用数学进展, 2024, 13(4): 1415-1424. https://doi.org/10.12677/aam.2024.134132
4.郭艳娟, 刘华, 屈非非. 各向异性弹性平面的混合解析函数方法[J]. 应用数学进展, 2021, 10(12): 4483-4488. https://doi.org/10.12677/AAM.2021.1012477
5.陈彦晓. 各向异性弹性平面含斜裂纹的混合解析函数方法[J]. 应用数学进展, 2024, 13(7): 3212-3219. https://doi.org/10.12677/aam.2024.137307
所属期刊
-Open Journal of Acoustics and Vibration-
《声学与振动》是一本开放获取、关注声学与振动领域最新进展的国际中文期刊,主要刊登声学与振动领域最新技术及成果展示的相关学术论文。支持思想创新、学术创新,倡导科学,繁荣学术,集学术性、思想性为一体,旨在给世界范围内的科学家、学者、科研人员提供一个传播、分享和讨论该领域内不同方向问题与发展的交流平台。
声明:本文转载仅仅是出于传播信息的需要,并不意味着代表本公众号观点或证实其内容的真实性;如其他媒体、网站或个人从本公众号转载使用,须保留本公众号注明的“来源”,并自负版权等法律责任。如本公众号内容不妥,或者有侵权之嫌,请先联系小编删除,万分感谢!
投稿联系:027-86758873
QQ:2194278918
微信号:15802748706
投稿邮箱:2194278918@qq.com
合作联系:service@hanspub.org
点击“阅读原文”,免费下载论文

