导读:
压电材料因其具有独特的力电耦合特性而受到研究者的关注。当材料发生变形时可能表现出既有粘性又有弹性的特性,分数阶微积分理论可以很好地刻画材料所具备的这种特性。本文考虑了非局部弹性理论,利用Hamilton原理推导了粘弹性压电纳米材料的分数阶控制方程,采用Galerkin方法和预估校正法求解控制方程,讨论了外加电压、非局部参数、分数阶等参数对粘弹性压电纳米梁的影响。结果表明:分数阶对粘弹性材料产生影响;系统阻尼随着分数阶的增加而增加。此外,非局部因子和压电场对其非线性振动行为有显著影响。
01
基本信息:
压电粘弹性纳米梁的振动
The Vibration of Piezoelectric Viscoelastic Nanobeam
作者:
种 楠, 雷东侠, 欧志英*:兰州理工大学理学院,甘肃 兰州
关键词:
压电材料;粘弹性;非局部理论;分数阶Kelvin-Voigt模型
项目基金:
甘肃省自然基金重点项目(25JRRA802)
原文链接:
https://doi.org/10.12677/ijm.2025.142008
02
内容简介:
在汉斯出版社《力学研究》期刊上,有论文考虑非局部弹性理论,利用Hamilton原理推导了粘弹性压电纳米材料的分数阶控制方程,采用Galerkin方法和预估校正法求解控制方程,讨论了外加电压、非局部参数、分数阶等参数对粘弹性压电纳米梁的影响。
为了研究粘弹性压电纳米梁的力学行为,如图2展示了电压ϕ(x,z,t) 下的长度为L 、宽度b 和厚度h 的压电纳米梁模型。
基于 Euler-Bernoulli 梁理论,由粘弹性纳米梁的位移场及根据 von-Kármán 的几何非线性假设,可以得到应变与位移之间的关系
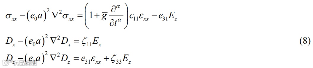
根据分数阶 Kelvin-Voigt 模型,及压电材料的非局部弹性理论就可以得到
关于Hamilton原理,它是以变分为基础的建模方法,通过计算出势能和动能,就可以推导出分数阶粘弹性压电纳米梁的控制方程
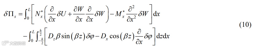
应变能的变分为
其中,并且法向合力和弯矩为
动能的变分为
其中, I = ρh 。
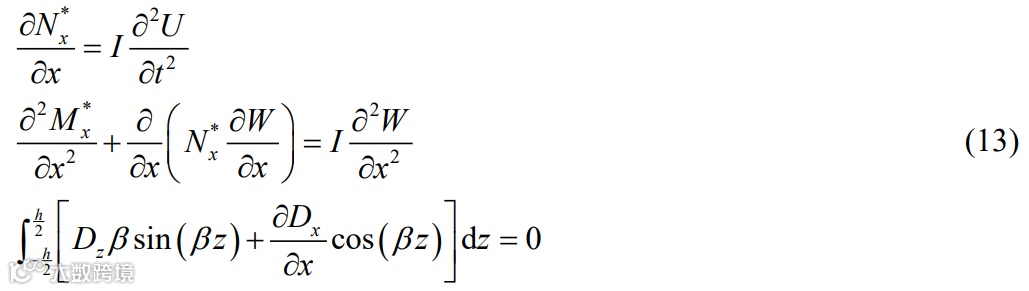
因此,可以根据变分原理得到压电纳米梁的控制方程
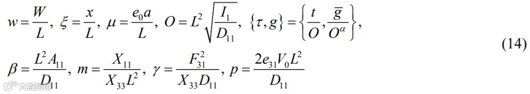
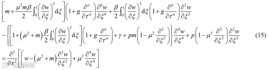
通过把(10)和(12)式代入(9)式,应用 Hamilton 原理,得到控制方程,对该方程进行无量纲化处理
从而得到无量纲下的分数阶粘弹性压电纳米梁的控制方程
本篇文章采取Galerkin方法进行求解问题,它是指采用微分方程对应的弱形式,其原理为通过选取有限多项式函数(又称基函数),将他们叠加,再要求结果在求解域内及边界上的加权积分(权函数为试函数本身)满足原方程,便可以得到一组易于求解的线性代数方程,且自然边界条件能够自动满足。取梁的瞬时模态函数作为试函数,对振动的偏微分方程进行离散求解,简支梁(SS)的阵型函数为
应用Galerkin方法将积分–分数阶微分方程转化为常微分方程,以状态空间的形式表示,再通过预估校正法进行数值求解。
对于简支压电纳米梁,式(15)的解可以表示为
其中,ϕn (τ ) 表示随时间变化的函数, Pn (ξ ) = sin (nπξ ) 为纳米梁所对应的模态函数。
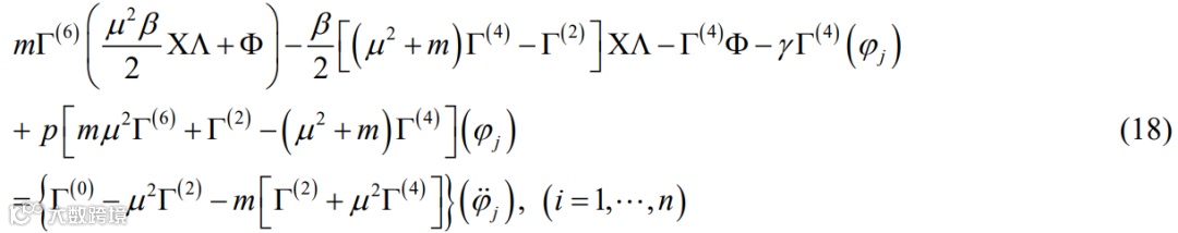
把式(17)代入(15)式中,应用 Galerkin 过程,即有
其中
从而利用预估矫正法求解非线性方程。
结论
随着分数阶阶数增大,系统的振幅减小,阻尼增大。当非局部参数μ的增加时,非线性频率减小。粘弹性系数的增加,降低了分数阶粘弹性压电纳米梁的非线性振动幅值,增加了系统的阻尼。施加电压为正时,增加电压时系统的非线性频率和振幅都降低;当外加电压为负时,则相反。
综上所述,非局部参数的增加会导致非线性频率的降低;相反,从正电压到负电压的外加电压会导致非线性频率的增加。值得注意的是,由于粘性效应,振动振幅随着时间的推移而减小;然而,随着分数阶与非局部参数和粘弹性系数的增加,系统的阻尼增强,更快地抑制系统的振动。
03
相关文章:
1.薛晓路, 雷东侠. 基于非局部弹性理论的分数阶粘弹性纳米板的振动[J]. 力学研究, 2024, 13(2): 94-102. https://doi.org/10.12677/ijm.2024.132010
2.霍恒宁, 程嘉, 路益嘉, 刘帆. 摩擦纳米发电机驱动下倍压整流电路的参数特性[J]. 机械工程与技术, 2018, 7(3): 223-233.
https://doi.org/10.12677/MET.2018.73028
3.王文静, 鲁晓莉, 陆东, 刘忠喜, 于彬, 孔丹晖, 吴林颖. 基于磁流变弹性体基础隔振的电力变压器可控减振研究[J]. 电气工程, 2020, 8(4): 179-185.
https://doi.org/10.12677/JEE.2020.84020
4.马慧, 欧志英. 分数阶微积分理论下粘弹性矩形薄膜自由振动[J]. 建模与仿真, 2022, 11(4): 942-953. https://doi.org/10.12677/MOS.2022.114087
5.赵钰, 鲁丽, 杨翊仁. 吊篮振动特性对压紧弹簧的参数敏感分析[J]. 动力系统与控制, 2015, 4(3): 37-44. http://dx.doi.org/10.12677/DSC.2015.43005
所属期刊
-International Journal of Mechanics Research-
《力学研究》是一本开放获取、关注力学领域最新进展的国际中文期刊,主要刊登力学及其分支学科最新进展的创造性论文和评论性文章。本刊支持思想创新、学术创新,倡导科学,繁荣学术,集学术性、思想性为一体,旨在给世界范围内的科学家、学者、科研人员提供一个传播、分享和讨论该领域内不同方向问题与发展的交流平台。
声明:本文转载仅仅是出于传播信息的需要,并不意味着代表本公众号观点或证实其内容的真实性;如其他媒体、网站或个人从本公众号转载使用,须保留本公众号注明的“来源”,并自负版权等法律责任。如本公众号内容不妥,或者有侵权之嫌,请先联系小编删除,万分感谢!
统计学与应用|“微短剧+”视听新质生产力培育路径研究——基于浙江省问卷调查的实证分析
投稿联系:027-86758873
QQ:2194278918
微信号:15802748706
投稿邮箱:2194278918@qq.com
合作联系:service@hanspub.org
点击“阅读原文”,免费下载论文

