导读:
本文研究带有时延的分数阶复值惯性神经网络的有限时间控制问题。首先使用变量代换法将高阶复值系统转化为四个低阶实值系统,然后根据新提出的有限时间稳定性引理,构造李亚普洛夫函数,使得驱动和响应系统可以在设计的非线性控制器下达到同步且得到其沉降时间。最后,给出一个数值仿真去检验得到的理论结果的正确性。
01
基本信息:
时延分数阶复值惯性神经网络的有限时间控制
Finite-Time Control of Fractional-Order Complex-Valued Inertial Neural Networks with Time Delays
作者:
王子铭, 孙 文:湖北师范大学数学与统计学院,湖北 黄石;张晓薇:武汉纺织大学会计学院,湖北 武汉
关键词:
有限时间;惯性;复值;时延;分数阶神经网络
项目基金:
国家自然科学基金面上项目(NO: 62473134)
湖北省高等学校优秀中青年科技创新团队计划(NO: T2023020)
原文链接:
https://doi.org/10.12677/dsc.2024.134016
02
内容简介:
在汉斯出版社《动力系统与控制》期刊上,有论文研究时延分数阶复值惯性神经网络的有限时间控制。
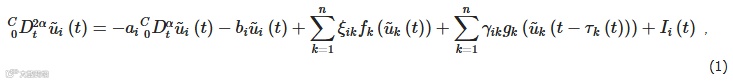
本文研究时延分数阶复值惯性神经网络,其驱动系统如下:

其中α∈(0,1) ,u˜i(t)∈C 是第i 个神经元的状态变量,i∈Z+ ,ai 和bi 是常数,n 代表神经网络中神经元的数量,ξik∈C 和γik∈C 表示神经元之间的链接权重,fk(u˜k(t))∈C 和gk(u˜k(t−τk(t)))∈C 分别表示不带有时滞和带有时滞的复值神经元的激活函数,τk(t) 是时滞,Ii∈C 是外部输入变量。系统(1)的初始条件是u˜i(c)=φ˜i(c) 和D0Cαtu˜i(c)=ψ˜i(c) ,c∈(−∞,0] 。
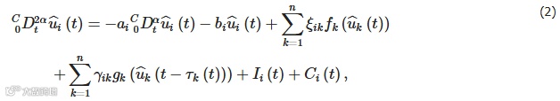
响应系统如下:

其中Ci 是控制输入,系统(2)的初始值为uˆi(c)=φˆi(c) 和D0Cαtuˆi(c)=ψˆi(c),c∈(−∞,0] 。
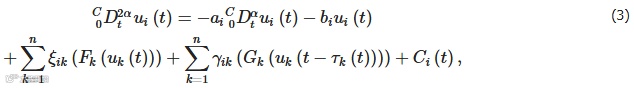
定义同步误差ui(t)=uˆi(t)−u˜i(t) ,则根据系统(1)和系统(2)可得误差系统为:

其中F(uk)=fk(uˆk(t))−fk(u˜k(t)) ,G(uk(t−τk(t)))=gk(uˆk(t−τk(t)))−gk(u˜k(t−τk(t))) 。
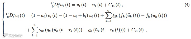
对系统(3)做变换:vi(t)=ui(t)+D0Cαtui(t)−C1i(t) 得:

其中C2i(t)+D0CαtC1i(t)−(1−ai)C1i(t)=Ci(t) 。
将系统(1)和系统(2)的同步问题转化为误差系统(3)的稳定性问题。通过设置控制器,确定误差系统的稳定性,并且给出沉降时间。
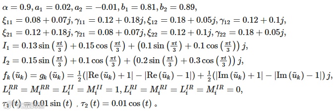
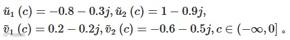
例:考虑一个2维系统,参数如下:

初始值为

2维驱动系统的状态轨迹如图1所示。从图1可以得知,驱动系统明显是不稳定的。误差系统的运动轨迹如图2所示。


结论
本文研究了时延分数阶复值惯性神经网络的有限时间控制问题。首先将复值高阶系统转化为多个低阶实值系统,然后设计了一个非线性控制器,根据新提出的分数阶稳定性引理,构造了李亚普洛夫函数和借助一些不等式,得出了驱动和响应系统达到有限时间同步的一个新的充分条件以及沉降时间。由于在有限时间控制中的沉降时间受到系统初始值的影响而限制了其实际应用,在将来我们计划研究时延分数阶复值惯性神经网络的固定时间控制问题,其沉降时间不再受系统初始值的影响。
03
相关文章:
1.罗雪梅, 李进东. 分数阶时滞的BAM神经网络的有限时间稳定性[J]. 应用数学进展, 2023, 12(6): 2677-2687. https://doi.org/10.12677/AAM.2023.126270
2.杨华波, 孙文. 符号图时变延迟神经网络的有限和固定时间控制[J]. 动力系统与控制, 2024, 13(1): 21-32. https://doi.org/10.12677/DSC.2024.131003
3.张杰. 带有比例时滞的分数阶双向联想记忆神经网络的有限时间稳定[J]. 应用数学进展, 2023, 12(9): 3999-4005. https://doi.org/10.12677/AAM.2023.129391
4.曹娟. 自适应间歇控制下时滞复杂网络的有限时同步[J]. 动力系统与控制, 2020, 9(4): 185-195. https://doi.org/10.12677/DSC.2020.94018
5.王丽丽, 徐瑞. 一类具有Leakage时滞的反应扩散神经网络在间歇控制下的指数同步[J]. 应用数学进展, 2016, 5(2): 298-309.
http://dx.doi.org/10.12677/AAM.2016.52038
所属期刊


-Dynamical Systems and Control-
《动力系统与控制》是一本开放获取、关注动力系统与控制领域最新进展的国际中文期刊,主要刊登动力系统控制理论及动力系统控制工程方面的最新技术就研究成果报道。本刊支持思想创新、学术创新,倡导科学,繁荣学术,集学术性、思想性为一体,旨在给世界范围内的科学家、学者、科研人员提供一个传播、分享和讨论动力系统与控制领域内不同方向问题与发展的交流平台。
声明:本文转载仅仅是出于传播信息的需要,并不意味着代表本公众号观点或证实其内容的真实性;如其他媒体、网站或个人从本公众号转载使用,须保留本公众号注明的“来源”,并自负版权等法律责任。如本公众号内容不妥,或者有侵权之嫌,请先联系小编删除,万分感谢!
建模与仿真|基于CNN-BiLSTM的广西月降水量预测模型研究


投稿联系:027-86758873
QQ:2194278918
微信号:15802748706
投稿邮箱:2194278918@qq.com
合作联系:service@hanspub.org
点击“阅读原文”,免费下载论文

