导读:
研究科尔沁沙地西缘主要固沙灌木盐蒿(Artemisia halodendron)种群的空间分布格局和空间关联性,可以为该区域固沙灌木保护和防风固沙提供科学依据。沿地形在科尔沁沙地西缘半固定沙丘和流动沙丘上分别设置40 × 160 m和40 × 148 m的样方,采用点格局分析方法,结合不同零模型综合分析0~20 m尺度盐蒿物种的数量结构特征、空间分布格局及种内关联。研究结果表明:1) 基于异质泊松模型,半固定沙丘上各生长发育阶段的盐蒿种群聚集程度较流动沙丘强。半固定沙丘盐蒿个体在研究尺度上以聚集分布为主,随着尺度的增大,聚集程度逐渐减弱且趋于随机分布;流动沙丘盐蒿种群则表现出在小尺度上聚集,在大尺度上随机的空间分布格局。2) 基于泊松聚块模型,盐蒿种群在半固定沙丘的中小尺度上表现出正向偏离模型,在流动沙丘的部分尺度上表现出负向偏离模型,其余尺度内符合模型。嵌套双聚块模型进一步检验表明,在0~20 m研究尺度范围内,盐蒿种群在两种沙丘上均符合模型。3) 基于先决条件模型,两种沙丘上盐蒿种群个体间表现出相似的空间关联性。即幼株与营养株在中小尺度上呈正关联,其余尺度上无显著关联;幼株与生殖株以及营养株与生殖株在中小尺度上呈正相关,较大尺度上无显著关联。多种零模型检验表明,生境异质性和种子扩散限制是形成科尔沁沙地半固定和流动沙丘上盐蒿种群的空间分布格局的主要原因。
01
基本信息:
科尔沁沙地西缘两种沙丘上盐蒿种群空间点格局研究
Study on Spatial Point Pattern of Artemisia halodendron Population on Two Sand Dunes in the Western Margin of Horqin Sandy Land
作者:
杨青惠:甘肃农业大学理学院,甘肃 兰州;张定海:甘肃农业大学理学院数量生物研究所,甘肃 兰州
关键词:
科尔沁沙地;盐蒿种群;点格局分析;空间分布;空间关联性;零模型
项目基金:
国家自然科学基金项目(42361016)
甘肃农业大学青年导师扶持基金(GAU-QDFC-2023-07)
甘肃省科技厅重点研发计划–农业领域(23YFNA0036)
甘肃省科技创新计划–“西部之光”人才计划项目(22JR9KA032)
原文链接:
https://doi.org/10.12677/br.2025.143014
02
内容简介:
在汉斯出版社《植物学研究》期刊上,有论文以科尔沁沙地西缘半固定和流动沙丘上的盐蒿种群为研究对象,运用空间点格局分析方法,在0~20 m尺度范围内开展盐蒿种群的空间分布格局及其种内空间关联性的研究,揭示二者在不同沙丘上的差异,以期为科尔沁沙地盐蒿种群的结构优化调整和防风固沙工作提供理论支撑。
本研究区域地处科尔沁沙地西缘,位于中国内蒙古自治区赤峰市东北部(43˚02'N, 119˚39'E),海拔大约为480 m。年平均降水量为368 mm,年平均蒸发量为1690 mm,年平均气温在5℃~7.5℃之间。霜冻期为11月至次年4月,无霜期为140至280天。主导风向为北向和西北向,年平均风速为3.6 m/s,风速 ≥ 5 m/s的起风频次为每年210~310天,最高可达330天;风速 ≥ 17.2 m/s的强风天气出现频率为25~40天/每年,沙尘天气出现10~15天/年,以春季为主。主要土壤类型为砂栗子土,但由于沙漠化严重,大部分土壤已退化为风沙土。作为中国最大的沙地,沙丘覆盖了陆地总面积的53%,流动沙丘占据了其中的5.5%,半固定沙丘占20%,固定沙丘占比达到27.5%。主要的固沙灌木包括盐蒿、小叶锦鸡儿(Caragana microphylla Lam.)和黄柳(Salix gordejevii)等。
2022年8月,在对科尔沁沙地开展综合考察后,沿地形(包括迎风坡、背风坡、丘顶和丘底)在研究区域西缘典型的半固定沙丘(119˚65'29''E, 43˚02'53''N)和流动沙丘(119˚63'91''E, 43˚02'69''N)上设立调查样地(图1),调查样地大小分别为40 × 160 m和40 × 148 m。进一步将样地细分为多个4 × 4 m的小样方,半固定沙丘划分为370个,流动沙丘划分为400个。对小样方内固沙灌木盐蒿个体的基本信息进行调查,调查内容包括灌木的地理坐标、生长发育阶段、株高、东西和南北冠幅大小。对地理坐标的测定选用GPS-PTK定位仪(南京鼎吉测绘仪器有限公司,S86T,精度为2 cm)测定。将灌木分为4个生长发育阶段:幼株(Y)、营养株(N)、生殖株(R)以及死株(D)。一方面,由于样地中死株数量较少,另一方面,死株个体死亡的原因和其所处的生长阶段差异较大,如不同阶段的个体均会由干旱、病虫害、啃食等原因致死。因此,本研究在进行空间点格局分析时未对死株进行分析。
图2展示了两种沙丘上盐蒿种群的数量特征,可以看出,半固定沙丘和流动沙丘盐蒿种群个体结构在不同生长发育阶段存在显著差异,且半固定沙丘上盐蒿总数明显高于流动沙丘。具体而言,半固定沙丘上盐蒿个体数量达到了1561株。其中,生殖株和营养株数量占据主导地位,分别为963株和484株,分别占盐蒿种群的61.7%和31%,合计占种群的92.7%;幼株和死株分别有85和29株,各自占种群的比例仅为5.4%和1.9%。流动沙丘上盐蒿个体共计218株,其中幼株最多有170株,占盐蒿种群的78%;生殖株和营养株分别有23株和25株,分别占种群的10.5%和11.5%,未观察到死株。
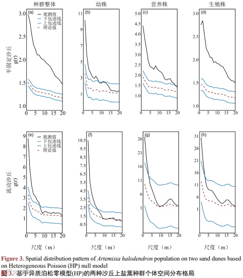
图2为在异质泊松(HP)零模型下使用单变量成对关联函数g(r) 得到的两种沙丘上盐蒿种群整体及不同生长阶段个体的空间分布格局图。对半固定沙丘的盐蒿种群而言(图3(a)~(d)),在未考虑生境异质性的HP模型下,除幼株在中等和较大尺度上呈随机分布外,无论是种群整体还是不同生长阶段的个体,大都表现为聚集分布。对流动沙丘上的盐蒿种群而言(图3(e)~(h)),盐蒿种群各生长发育阶段个体表现出小尺度聚集,中等和较大尺度上随机的分布格局。同时,半固定沙丘上不同生长阶段盐蒿个体的聚集强度要远高于流动沙丘个体。具体而言,种群整体在0~20 m尺度上呈聚集分布(图3(a))。从不同生长发育阶段来分析,在幼株阶段,种群在0~9 m尺度范围内呈聚集分布,大于9 m尺度时逐渐转变为随机分布(图3(b));营养株在研究尺度范围内呈聚集分布,仅在19~20 m尺度上呈随机分布(图3(c));生殖株在0~20 m研究尺度范围内完全表现为聚集分布,但随着研究尺度的增大,种群有向随机分布转变的趋势(图3(d))。流动沙丘上的盐蒿种群整体在0~7 m的较小尺度范围内表现为聚集分布,而在大于7 m的中等和较大尺度上表现为随机分布(图3(e));幼株在0~6 m尺度上表现为聚集分布,研究尺度大于6 m时则转变为随机分布(图3(f));营养株(图3(g))和生殖株(图3(h))均在0~3 m研究尺度上聚集,大于6 m尺度上随机分布。
结论
1) 半固定沙丘上盐蒿个体数量高于流动沙丘,且各生长发育阶段个体间结构差异显著。半固定沙丘上生殖株和营养株数量较多,标志着该群落结构趋于稳定,属于典型的稳定型群落。流动沙丘内幼株个体占优势,种群拥有良好的更新与恢复能力,属于增长型种群。
2) 半固定沙丘上,在剔除生境异质性的异质泊松模型下,除幼株在中等和较大尺度上呈现随机分布外,无论是种群整体还是不同生长阶段的种群,在0~20 m的尺度范围内大都表现为聚集分布。流动沙丘上的盐蒿种群,无论是种群整体还是不同生长发育阶段的盐蒿种群,都表现为小尺度聚集,中等和较大尺度上随机分布的特点。相较于半固定沙丘,生境异质性对流动沙丘上盐蒿种群空间分布格局的影响更为显著,从而更能深入揭示盐蒿种群在流动沙丘上空间分布格局形成的内在机制。
3) 半固定沙丘上,盐蒿种群在小尺度范围内分布格局正向偏离泊松聚块模型;而在流动沙丘上,在部分研究尺度上负向偏离泊松聚块模型,这说明扩散限制在一定尺度上对两种沙丘盐蒿种群生殖株与非生殖株个体空间分布格局产生了影响,且对半固定沙丘盐蒿种群空间分布格局的影响更为显著。进一步通过嵌套双聚块模型检验发现,在研究尺度范围内两种沙丘盐蒿种群均符合模型,即种群聚集分布的大聚块内存在较高密度的小聚块。综上,种子扩散机制和生境异质性共同影响了盐蒿种群的空间分布格局。
4) 在剔除生境异质性的先决条件模型下,不同生长阶段的盐蒿种群种内关联性主要以正关联和无关联为主,且半固定与流动沙丘上盐蒿种群不同生长阶段的种内空间关联呈现相似的关联性。即营养株与幼株在较小尺度和大尺度上没有显著的空间关联性,中等尺度上表现为正关联;生殖株与幼株、生殖株与营养株在较大尺度上没有显著的关联性,中小尺度上表现为正关联。
03
相关文章:
1.效志怡, 吴同, 尤鹤旋, 梁雷. 衬膜水稻种植对荒漠化土壤肥力修复的研究——以科尔沁沙地为例[J]. 土壤科学, 2025, 13(1): 35-43. https://doi.org/10.12677/hjss.2025.131005
2.王群, 孙亚男, 金嘉丰, 王冬, 蒋启东. 科尔沁沙地南缘农牧交错区生态防风蚀措施技术途径研究[J]. 农业科学, 2019, 9(4): 290-297.
https://doi.org/10.12677/HJAS.2019.94044
3.效志怡, 吴同, 尤鹤旋, 梁雷. 衬膜水稻技术对科尔沁沙地土壤线虫群落特征的影响[J]. 环境保护前沿, 2024, 14(6): 1320-1329.
https://doi.org/10.12677/aep.2024.146166
4.刘静, 陈梦婷, 任和, 景年龙, 于广洋, 曹成有. 科尔沁沙地草甸草地开垦农田对土壤细菌群落结构的影响[J]. 世界生态学, 2017, 6(2): 69-76.
https://doi.org/10.12677/IJE.2017.62008
5.马兴存, 姜俊基, 王理德, 杨兵, 陈珍新, 薛文瑞, 吕银录, 吴昊. 石羊河下游沙丘造林灌木树种选择试验研究[J]. 林业世界, 2021, 10(1): 8-14.
https://doi.org/10.12677/WJF.2021.101002
所属期刊
-Botanical Research-
《植物学研究》是一本开放获取、关注植物学领域研究前沿的国际中文期刊,主要刊登有关植物学、植物化学、植物生物物理学等领域的学术论文,反映国内外该领域的最新研究动态。本刊支持思想创新、学术创新,倡导科学,繁荣学术,集学术性、思想性为一体,旨在给世界范围内的科学家、学者、科研人员提供一个传播、分享和讨论该领域内不同方向问题与发展的交流平台。
声明:本文转载仅仅是出于传播信息的需要,并不意味着代表本公众号观点或证实其内容的真实性;如其他媒体、网站或个人从本公众号转载使用,须保留本公众号注明的“来源”,并自负版权等法律责任。如本公众号内容不妥,或者有侵权之嫌,请先联系小编删除,万分感谢!
投稿联系:027-86758873
QQ:2194278918
微信号:15802748706
投稿邮箱:2194278918@qq.com
合作联系:service@hanspub.org
点击“阅读原文”,免费下载论文

